Logo Passei Direto
Buscar

1 (269)

User badge image
Raquel

em

Ferramentas de estudo

Material
páginas com resultados encontrados.
páginas com resultados encontrados.

Prévia do material em texto

CHAPTER 8 261 
 
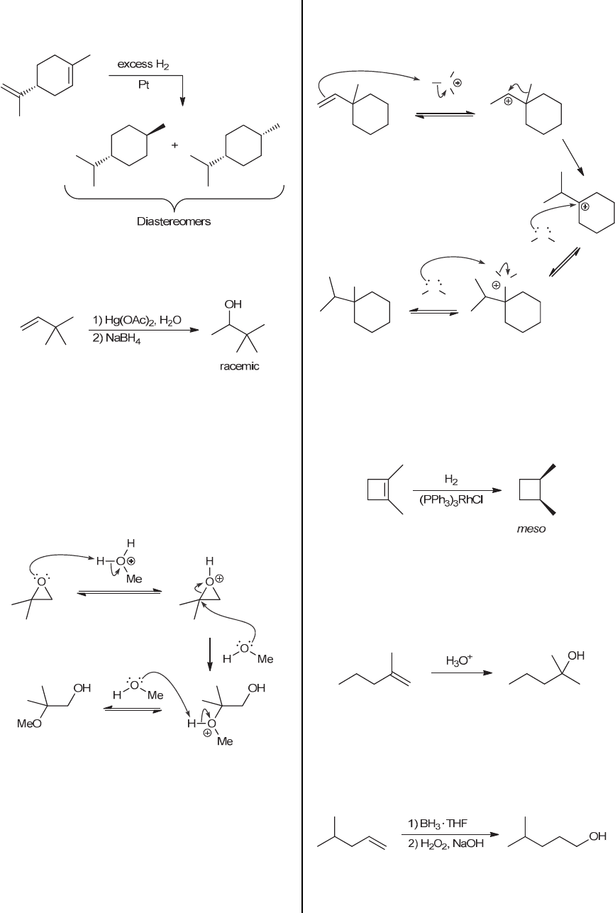
diastereomers because they are stereoisomers that are not 
mirror images of each other. 
 
 
 
 
8.54. This conversion requires the Markovnikov addition 
of water without carbocation rearrangement. This can be 
achieved via oxymercuration-demercuration: 
 
 
 
8.55. In the presence of acid, the epoxide is first 
protonated, which requires two curved arrows, as shown 
below. The resulting intermediate is then attacked by a 
molecule of methanol, which functions as a nucleophile. 
This step requires two curved arrows. Then, in the final 
step of the mechanism, a molecule of methanol functions 
as a base and removes a proton, thereby generating the 
product. This final step is a proton transfer step, and 
therefore requires two curved arrows: 
 
 
 
8.56. In the first step of the mechanism, a proton is 
transferred from H3O+ to the alkene, which requires two 
curved arrows, as shown. The resulting secondary 
carbocation then rearranges via a methyl shift, giving a 
more stable, tertiary carbocation. That step is shown 
with one curved arrow. The tertiary carbocation is then 
captured by a water molecule, which is shown with one 
curved arrow, going from the nucleophile (water) to the 
electrophile (the carbocation). Then, in the final step of 
the mechanism, a molecule of water functions as a base 
and removes a proton, thereby generating the product. 
This final step is a proton transfer step, and therefore 
requires two curved arrows, as shown: 
 
OH
Methyl
shift
H O
H
H
H
O
H
H
O
H
O
HH
 
8.57. 
(a) The reagents indicate a hydrogenation reaction, so 
the net result will be the addition of H and H across the 
alkene. The regiochemical outcome is not relevant 
because the two groups added (H and H) are identical. 
We expect the reaction to proceed via a syn addition, 
giving the following meso compound: 
 
 
 
(b) The reagents indicate an acid-catalyzed hydration, so 
the net result will be the addition of H and OH across the 
alkene. We expect a Markovnikov addition, so the OH 
group will be installed at the more-substituted position. 
No chiral centers are formed in the process, so 
stereochemistry is not a relevant consideration: 
 
 
 
(c) The reagents indicate a hydroboration-oxidation, so 
the net result will be the addition of H and OH across the 
alkene. For the regiochemical outcome, we expect an 
anti-Markovnikov addition, so the OH group is installed 
at the less-substituted position. The stereochemical 
outcome (syn addition) is not relevant in this case, 
because the product has no chiral centers: 
 
 
 
(d) The reagents indicate a dihydroxylation process (via 
an epoxide), so the net result will be the addition of OH 
and OH across the alkene. The regiochemical outcome 
www.MyEbookNiche.eCrater.com

Mais conteúdos dessa disciplina