Logo Passei Direto
Buscar

Ferramentas de estudo

Material
páginas com resultados encontrados.
páginas com resultados encontrados.

Prévia do material em texto

CHAPTER 4 119 
 
conformation, there is only one Me-Me gauche 
interaction. 
 
 
4.39. Both compounds share the same molecular 
formula (C6H14). That is, they are constitutional isomers, 
and the unbranched isomer is expected to have the larger 
heat of combustion: 
 
 
 
4.40. 
(a) The name indicates that the parent is a five-carbon 
chain and there are three substituents (two methyl groups 
at C2, and one methyl group at C4): 
 
 
 
(b) The name indicates that the parent is a seven-
membered ring and there are four substituents (all methyl 
groups), as shown: 
 
 
(c) The name indicates a bicyclic parent with two ethyl 
groups at C2 and two ethyl groups at C4, as shown: 
 
 
 
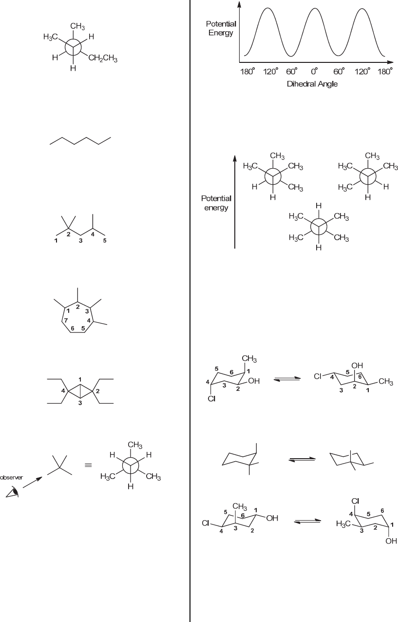
4.41. We begin by drawing a Newman projection of 2,2-
dimethylpropane: 
 
 
Notice that the front carbon has three identical groups 
(all H’s), and the back carbon atom also has three 
identical groups (all methyl groups). As such, we expect 
all staggered conformations to be degenerate, and we 
expect all eclipsed conformations to be degenerate as 
well. Therefore, the energy diagram will more closely 
resemble the shape of the energy diagram for the 
conformational analysis of ethane. 
 
 
 
4.42. Two of the staggered conformations are 
degenerate. The remaining staggered conformation is 
lower in energy than the other two, as shown: 
 
 
 
4.43. For each of the following cases, we draw the 
second chair conformation using a numbering system to 
ensure the substituents are placed correctly. The 
numbering system does NOT need to adhere to IUPAC 
rules, as it is just a tool that we are using to draw both 
chair conformations correctly. Notice that a ring flip 
causes all equatorial groups to become axial groups, and 
vice versa. 
(a) 
 
 
 
(b) 
Cl
ClOH
OH
CH3
CH3
1
2
3
4
5 6
3
4 5
6
1
2
 
(c) 
 
 
4.44. 
(a) The second compound is expected to have a higher 
heat of combustion because it has more carbon atoms. 
(b) The first compound is expected to have a higher heat 
of combustion because it cannot adopt a chair 
conformation in which both methyl groups occupy 
equatorial positions. 
www.MyEbookNiche.eCrater.com

Mais conteúdos dessa disciplina