Logo Passei Direto
Buscar
Material
páginas com resultados encontrados.
páginas com resultados encontrados.

Prévia do material em texto

CHAPTER 17 625 
 
ppm, each with an integration of 2. This is the 
characteristic pattern of a disubstituted aromatic ring, in 
which the two substituents are different from each other: 
 
 
 
The singlet at 3.9 ppm (with an integration of 3) 
represents a methyl group. The chemical shift is 
downfield from the expected benchmark value of 0.9 
ppm for a methyl group, indicating that it is likely next to 
an oxygen atom: 
 
 
The singlet at 2.6 ppm (with an integration of 3) 
represents an isolated methyl group. The chemical shift 
of this signal suggests that the methyl group is 
neighboring a carbonyl group: 
 
 
 
The carbonyl group accounts for one degree of 
unsaturation, and together with the aromatic ring, this 
would account for all five degrees of unsaturation. The 
presence of a carbonyl group is also confirmed by the 
signal at 196.6 ppm in the 13C NMR spectrum. 
We have uncovered three pieces, which can only be 
connected in one way, as shown: 
 
 
This structure is consistent with the 13C NMR data: four 
signals for the sp2 hybridized carbon atoms of the 
aromatic ring, and two signals for the sp3 hybridized 
carbon atoms (one of which is above 50 ppm because it 
is next to an oxygen atom). 
Also notice that the carbonyl group is conjugated to the 
aromatic ring, which explains why the signal for the 
C=O bond in the IR spectrum appears at 1676 cm-1, 
rather than 1720 cm-1. 
 
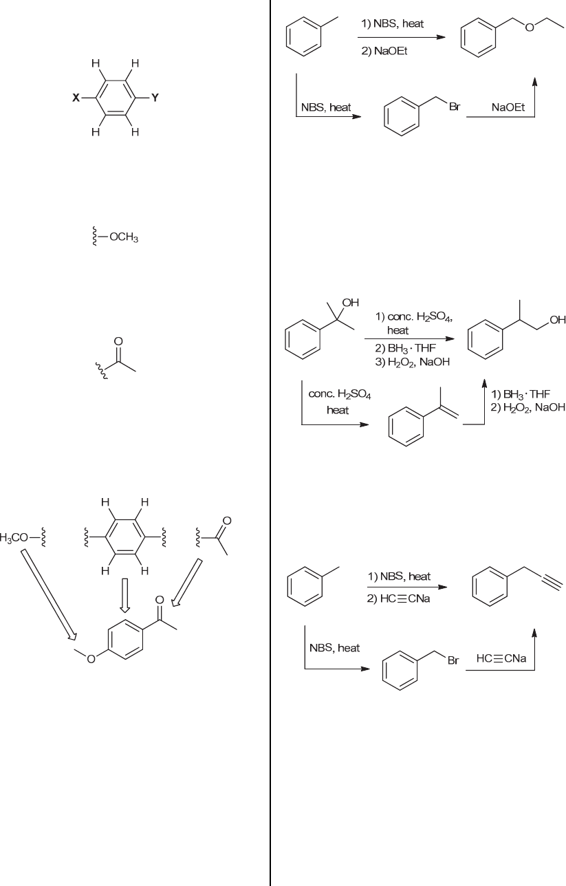
17.53. 
(a) If we functionalize the benzylic position (via 
bromination), the product can be obtained in just one 
more step, via a Williamson ether synthesis, as shown: 
 
 
 
(b) This transformation requires that we move the 
position of the OH group. This was a strategy that was 
covered in Chapter 11. Specifically, we saw that the 
location of an OH group can be moved via elimination 
followed by addition. The first step is to convert the 
alcohol into an alkene via acid-catalyzed dehydration 
(E1). Then, hydroboration-oxidation will convert the 
alkene into the desired alcohol, via an anti-Markovnikov 
addition of H and OH across the  bond: 
 
 
(c) The carbon skeleton is getting larger, so we must 
form a CC bond. In addition, we must install a triple 
bond. Both of these goals can be achieved via 
bromination at the benzylic position, followed by an SN2 
reaction in which an acetylide ion is used as the 
nucleophile, as shown: 
 
 
 
 
17.54. The molecular formula (C11H14O2) indicates five 
degrees of unsaturation (see Section 14.16), which is 
highly suggestive of an aromatic ring, as well as either 
one double bond or one ring. 
In the 1H NMR spectrum, the signals near 7 ppm are 
likely a result of aromatic protons. Notice that the 
combined integration of these two signals is 4H. This, 
together with the distinctive splitting pattern (a pair of 
doublets), suggests a 1,4-disubstituted aromatic ring, in 
which the two substituents are different: 
 
 
www.MyEbookNiche.eCrater.com

Mais conteúdos dessa disciplina