Logo Passei Direto
Buscar
Material
páginas com resultados encontrados.
páginas com resultados encontrados.

Prévia do material em texto

580 CHAPTER 16 
 
product results when the regions of  and  
(highlighted) are aligned: 
 
 
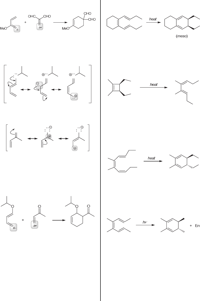
(e) Both the diene and the dienophile are unsymmetrical, 
so there are two possible regiochemical outcomes. The 
major product can be predicted by considering resonance 
structures for the diene, 
 
O
Diene
O O
 
 
and resonance structures for the dienophile: 
 
O O O
Dienophile 
 
Notice that the diene is electron-rich, because of the 
electron-donating effect of the isopropoxy group; while 
the dienophile is electron-poor, because of the electron-
withdrawing effect of the aldehyde group. The major 
product results when the regions of  and  
(highlighted) are aligned: 
 
 
 
16.19. We first consider the HOMO of one molecule of 
butadiene and the LUMO of another molecule of 
butadiene (see Figure 16.17 for the HOMO and LUMO 
of butadiene). The phases of these MOs do not align, so 
a thermal reaction is symmetry-forbidden. However, if 
one molecule is photochemically excited, the HOMO 
and LUMO of that molecule are redefined. The phases 
of the frontier orbitals will align under these conditions, 
so the reaction is expected to occur photochemically. 
16.20. 
(a) This system has six  electrons, so an electrocyclic 
reaction is expected to occur under thermal conditions to 
give disrotatory ring closure. The resulting product has 
an internal plane of symmetry and is therefore a meso 
compound. 
 
 
 
(b) In this reaction, the four-membered ring is opening 
(this is the reverse of an electrocyclic ring closure). If 
we look at the product, we see that four electrons are 
involved in the process. Under thermal conditions, this 
electrocyclic process is expected be conrotatory, giving 
the following product. 
 
 
 
(c) This system has six  electrons, so an electrocyclic 
reaction is expected to occur under thermal conditions to 
give disrotatory ring closure. The resulting product is 
chiral, and both enantiomers are expected (one ethyl 
group rotates clockwise and the other rotates 
counterclockwise, or vice versa, leading to both possible 
enantiomers). 
 
 
 
16.21. 
(a) This system has six  electrons, so an electrocyclic 
reaction is expected to occur under photochemical 
conditions to give conrotatory ring closure. The 
resulting product is chiral, and both enantiomers are 
expected (either both methyl groups rotate clockwise or 
both methyl groups rotate counterclockwise). 
 
 
 
(b) In this reaction, the four-membered ring is opening 
(this is the reverse of an electrocyclic ring closure). If 
we look at the product, we see that four electrons are 
involved in the process. Under photochemical 
conditions, this electrocyclic process is expected be 
disrotatory. In theory, two products can be produced 
from disrotatory ring-opening (one methyl group rotates 
clockwise and the other rotates counterclockwise, or vice 
versa, leading to two possible products): 
 
www.MyEbookNiche.eCrater.com

Mais conteúdos dessa disciplina