Logo Passei Direto
Buscar
Material
páginas com resultados encontrados.
páginas com resultados encontrados.

Prévia do material em texto

CHAPTER 14 505 
 
 
 
 
14.56. A signal at 2200 cm-1 signifies the presence of a 
C≡C bond. There are only two possible constitutional 
isomers: 1-butyne or 2-butyne. The latter is symmetrical 
and would not produce a signal at 2200 cm-1. The 
compound must be 1-butyne. 
 
14.57. The IR spectrum has a strong signal just above 
1700 cm-1, which indicates that the compound has a C=O 
bond. The mass spectrum has a molecular ion peak at 
m/z = 86, which indicates a molecular weight of 86. The 
base peak is at M43, indicating the loss of a propyl 
group. The compound likely has a three carbon chain 
(either a propyl group or isopropyl group) as shown in 
the following two structures. 
 
 
 
14.58. The IR spectrum has a narrow signal near 2100 
cm-1, which indicates the presence of a triple bond. In 
addition, the signal at 3300 cm-1 is consistent with a 
CspH bond, which indicates that the compound is a 
terminal alkyne. The mass spectrum has a molecular ion 
peak at m/z = 68, which indicates a molecular weight of 
68 amu. So we are looking for terminal alkynes with a 
molecular weight of 68 amu. Recall that each carbon 
atom contributes 12 amu, so five carbon atoms 
contribute 60 amu to the molecular weight, leaving just 8 
amu left for hydrogen atoms (each hydrogen atom is 1 
amu). That is, compounds with the molecular formula 
C5H8 will have a molecular weight of 68 amu. This 
molecular formula is consistent with two degrees of 
unsaturation (a triple bond). 
There are two terminal alkynes with the molecular 
formula C5H8, shown here: 
 
 
 
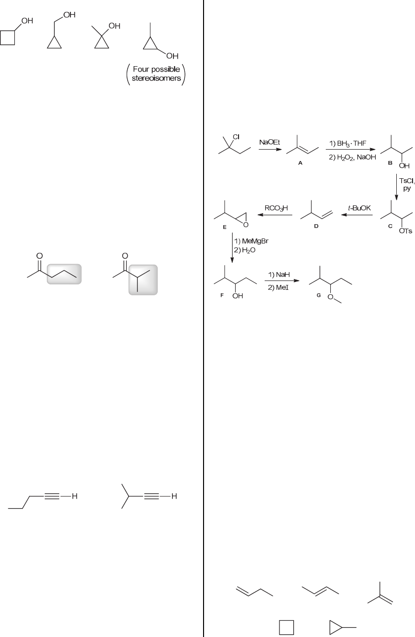
14.59. All of the reactions in the following sequence 
were covered in previous chapters. The starting alkyl 
chloride is a tertiary substrate and will undergo an E2 
reaction when treated with a strong base. With a base 
like ethoxide (which is not sterically hindered), the major 
product is the more-substituted alkene (the Zaitsev 
product), compound A. Hydroboration-oxidation of 
compound A gives an anti-Markovnikov addition of H 
and OH, affording alcohol B. When treated with tosyl 
chloride and pyridine, the alcohol is turned into the 
corresponding tosylate (compound C). Treatment of the 
tosylate with a sterically hindered base gives another E2 
reaction, this time giving the less substituted alkene (the 
Hofmann product), compound D. Treating D with a 
peroxy acid gives epoxide E. When the epoxide is 
treated with a Grignard reagent (such as MeMgBr), 
followed by an aqueous workup, a ring-opening reaction 
occurs in which the Grignard reagent attacks the less 
substituted side of the epoxide, to afford alcohol F. The 
last step of the sequence is a Williamson ether synthesis, 
in which a methyl group is installed to give compound 
G. 
 
 
(a) Compound F is an alcohol and its IR spectrum will 
exhibit a broad signal between 3200 and 3600 cm-1. 
Compound G is an ether and its IR spectrum will not 
exhibit the same signal. 
(b) Compound D is an alkene and its IR spectrum will 
exhibit a signal near 1650 cm-1 (for the C=C bond), as 
well as a signal near 3100 cm-1 (for the Csp2H bond). 
Compound E is an epoxide, and its IR spectrum will not 
have these two signals. 
(c) IR spectroscopy would not be helpful to distinguish 
these two compounds because they are both alcohols. 
Mass spectrometry could be used to differentiate these 
two compounds because they have different molecular 
weights. 
(d) No, they both have the same molecular formula, 
although a trained expert might be able to distinguish 
these compounds based on their fragmentation patterns. 
 
14.60. The molecular formula C4H8 indicates an HDI of 
1. As such, every constitutional isomer of C4H8 must 
contain either one ring or one double bond. The 
following structures are consistent with this description. 
Each of the first three constitutional isomers (shown 
here) exhibits a double bond, while each of the last two 
constitutional isomers exhibits a ring. 
 
 
www.MyEbookNiche.eCrater.com

Mais conteúdos dessa disciplina