Logo Passei Direto
Buscar

Ferramentas de estudo

Material
páginas com resultados encontrados.
páginas com resultados encontrados.

Prévia do material em texto

792 CHAPTER 20 
 
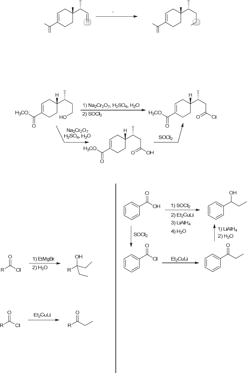
20.31. 
(a) In this transformation, an alkene is being converted into an alcohol. Since the OH group is installed at the less 
substituted carbon, we need an anti-Markovnikov addition. This can be accomplished using a hydroboration- oxidation 
reaction sequence. 
H H
HO
H3CO
O
H3CO
O
1) BH3 THF
2) H2O2, NaOH
 
 
It is reasonable to assume that the unhindered monosubstituted alkene will react more rapidly than the hindered 
trisubstituted alkene. In practice, the investigators enhanced the selectivity of the hydroboration process by using 
R2BH (where R = alkyl) in place of BH3. 
(b) In this transformation, a primary alcohol is being converted to an acid chloride. This can be accomplished via a 
two-step process. The primary alcohol is first oxidized to a carboxylic acid, so we must choose an appropriate oxidizing 
agent. This is followed by conversion of the carboxylic acid to the acid chloride, using SOCl2, as shown. 
 
 
 
 
 
20.32. 
(a) The starting material has seven carbon atoms, and the 
product has nine carbon atoms. This requires installation 
of an ethyl group via a carbon-carbon bond-forming 
reaction. There are certainly several ways to achieve the 
installation of a single ethyl group. Let’s first consider 
one way that will NOT work. Specifically, we cannot 
install the ethyl group via the reaction between an acid 
chloride and a Grignard reagent, as that would install two 
ethyl groups: 
 
 
 
This reaction cannot be controlled to install a single ethyl 
group. However, a lithium dialkyl cuprate will attack an 
acid chloride just once, installing just one ethyl group: 
 
 
 
In order to use this method to install an ethyl group, we 
must first convert the starting material into an acid halide 
(which can be accomplished by treating the acid with 
thionyl chloride). Then, after installation of the ethyl 
group, we must convert the ketone into the final product 
(which can be achieved via reduction): 
 
 
 
Alternatively, a single ethyl group can be installed via 
the reaction between an aldehyde and a Grignard 
reagent. This strategy gives the following synthesis: 
The carboxylic acid is first converted to an acid halide, 
followed by subsequent treatment with LiAl(OR)3H to 
give an aldehyde. The aldehyde can then be treated with 
ethyl magnesium bromide, followed by aqueous work-
up, to give the desired product. This alternative strategy 
demonstrates that there is rarely only one correct way to 
approach a synthesis problem. THIS IS TRUE FOR 
NEARLY ALL OF THE SYNTHESIS PROBLEMS 
THAT WE ENCOUNTER. 
 
 
www.MyEbookNiche.eCrater.com

Mais conteúdos dessa disciplina