Logo Passei Direto
Buscar
Material
páginas com resultados encontrados.
páginas com resultados encontrados.

Prévia do material em texto

CHAPTER 21 899 
 
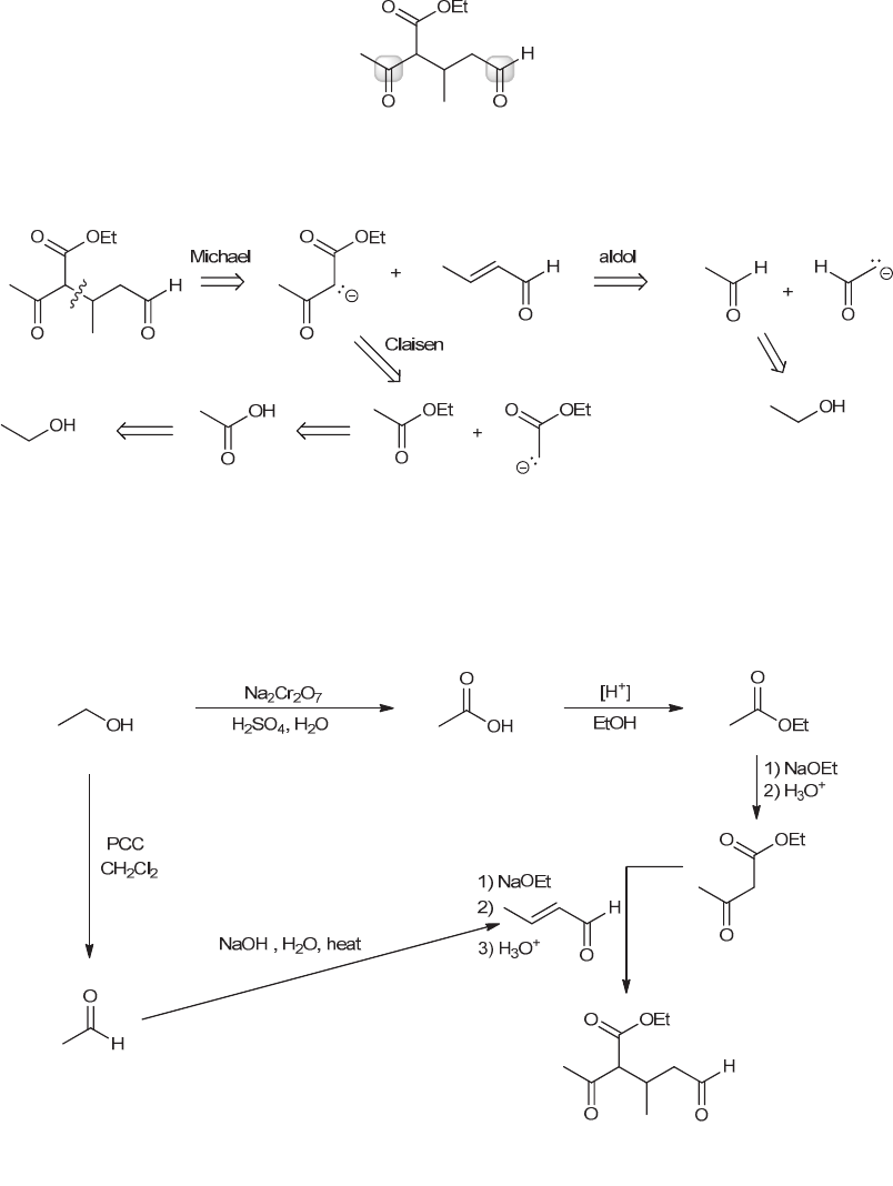
21.107. 
(a) The compound possesses three functional groups, and can be assembled in a variety of ways. One method 
capitalizes on the 1,5-arrangement of two of the functional groups (highlighted): 
 
 
 
Therefore, we consider preparing the product via a Michael reaction. The following retrosynthetic analysis is based on 
assembly of the carbon skeleton via a Michael reaction, as well as an aldol condensation reaction to prepare the 
Michael acceptor, and a Claisen condensation to prepare the Michael donor: 
 
 
 
Now let’s show the forward scheme for this strategy. One equivalent of ethanol is oxidized with PCC to give 
acetaldehyde, which is then heated with aqueous sodium hydroxide to give an -unsaturated aldehyde (via an aldol 
condensation reaction). Another equivalent of ethanol is oxidized with chromic acid to give a carboxylic acid, which is 
then treated with ethanol under acidic conditions to give an ester (via Fischer esterification). The ester is then 
converted into a -ketoester (via a Claisen condensation). The-ketoester is then deprotonated with ethoxide to give a 
doubly stabilized enolate which then attacks the -unsaturated aldehyde to give a Michael reaction: 
 
 
 
 
 
 
 
 
 
 
 
www.MyEbookNiche.eCrater.com

Mais conteúdos dessa disciplina