Logo Passei Direto
Buscar
Material
páginas com resultados encontrados.
páginas com resultados encontrados.
left-side-bubbles-backgroundright-side-bubbles-background

Crie sua conta grátis para liberar esse material. 🤩

Já tem uma conta?

Ao continuar, você aceita os Termos de Uso e Política de Privacidade

Prévia do material em texto

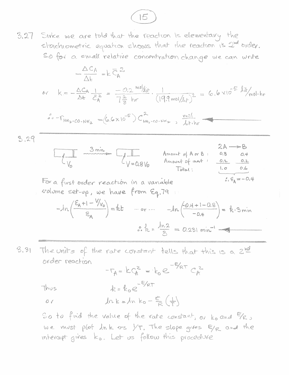
15 3.27 Since we are told that the reaction is elementary the equation shows that the reaction is 2nd order. So for a small relative concentration change we can write = 2 or k= k = ACA At = 0.2 hr = mol/lit 3.29 3 min 2A B Amount of A 0.8 0.4 Amount of : 0.2 V = Total: 1.0 0.6 For a first order reaction in a variable 0.4 volume set-up, we have from Eq. 79 -In EA = kt or -In -0.4 + = k.3min min k = 3 = 0.231 3.31 The units of the rate constant tells that this a 2nd order reaction = -E/RT Thus or In = In ko (+) So to find the value of the rate constant, or ko and E/R, we must plot 1/T. The slope gives E/R and the intercept gives Let US follow this procedure

Mais conteúdos dessa disciplina