Logo Passei Direto
Buscar
Buscar
Premium Vitalício
Aprender Inglês
PD Concursos
Enviar material
Entrar
1 (1162)
Literatura em Inglês
Andréia Vieira dos Santos
em
04/03/2026
0
Reportar
Reportar
Gabarito
Exercícios
Mapa mental
Resumo
Mais opções
Ferramentas de estudo
Gabarito
Exercícios
Mapa mental
Resumo
Mostrar todas
Perguntas dessa disciplina
PENSAMENTO, LINGUAGEM E DESENVOLVIMENTO HUMANO (1162) A DISCIPLINA: PENSAMENTO, LINGUAGEM DESENVOLVIMENTO HUMANO (1162) - i Observe os itens sobre ...
CEF
, LINGUAGEM E DESENVOLVIMENTO HUMANO (1162) DISCIPLINA: PENSAMENTO, LINGUAGEM E DESENVOLVIMENTO HUMANO (1162) - Observe os itens sobre as teorias...
PENSAMENTO, LINGUAGEM E DESENVOLVIMENTO HUMANO (1162) DISCIPLINA: PENSAMENTO, LINGUAGEM E DESENVOLVIMENTO HUMANO (1162) - A escrita apareceu em vár...
CEF
A Questão 02 DISCIPLINA: PENSAMENTO, LINGUAGEM E DESENVOLVIMENTO HUMANO (1162) - Alfabetização e Letramento são processos diferentes, cada um co...
UNICSUL
PENSAMENTO, LINGUAGEM E DESENVOLVIMENTO HUMANO (1162) Letramento designa do estado ou condição em que vivem e interagem indivíduos ou grupos sociai...
Uniasselvi
Material
Buscar
páginas com resultados encontrados.
páginas com resultados encontrados.
Buscar
Perguntas dessa disciplina
PENSAMENTO, LINGUAGEM E DESENVOLVIMENTO HUMANO (1162) A DISCIPLINA: PENSAMENTO, LINGUAGEM DESENVOLVIMENTO HUMANO (1162) - i Observe os itens sobre ...
CEF
, LINGUAGEM E DESENVOLVIMENTO HUMANO (1162) DISCIPLINA: PENSAMENTO, LINGUAGEM E DESENVOLVIMENTO HUMANO (1162) - Observe os itens sobre as teorias...
PENSAMENTO, LINGUAGEM E DESENVOLVIMENTO HUMANO (1162) DISCIPLINA: PENSAMENTO, LINGUAGEM E DESENVOLVIMENTO HUMANO (1162) - A escrita apareceu em vár...
CEF
A Questão 02 DISCIPLINA: PENSAMENTO, LINGUAGEM E DESENVOLVIMENTO HUMANO (1162) - Alfabetização e Letramento são processos diferentes, cada um co...
UNICSUL
PENSAMENTO, LINGUAGEM E DESENVOLVIMENTO HUMANO (1162) Letramento designa do estado ou condição em que vivem e interagem indivíduos ou grupos sociai...
Uniasselvi
Prévia do material em texto
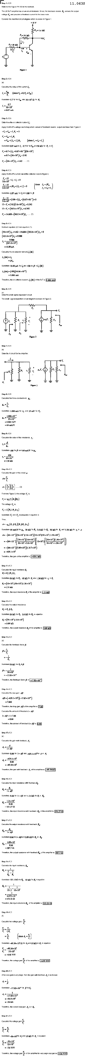
11.063P 4
Mais conteúdos dessa disciplina
1 (543)
Family and Friends 1 - Class Book
Jane Eyre de Charlotte Brontë
WORK[1] respondido
Exercicios_Prepositions_IN_ON_AT (1)
1751530400489
American-English-File-1-SB-Third-Edition (2)
Avaliação final - Estudos Literários da Língua Inglesa (LLI41) - Resumo
3ADF-2022-(9Ano-Ingles-E F)-(BPWarles)
Textual genders
INGLÊS - BNCC EF01CI02 -corpo humano
Para compreensão das ideias principais, ou seja, além de obter a ideia geral, buscar a compreensão dos argumentos e ideias principais, porém sem se...
impressõessemana1
FOR IMMEDIATE RELEASE (3)
Mostrar mais conteúdos
chevronDownIcon