Logo Passei Direto
Buscar
Material
páginas com resultados encontrados.
páginas com resultados encontrados.

Prévia do material em texto

58 CHAPTER 2 
 
connected to only one other atom, and the other oxygen 
atom has bent geometry (see SkillBuilder 1.8). 
 
 
 
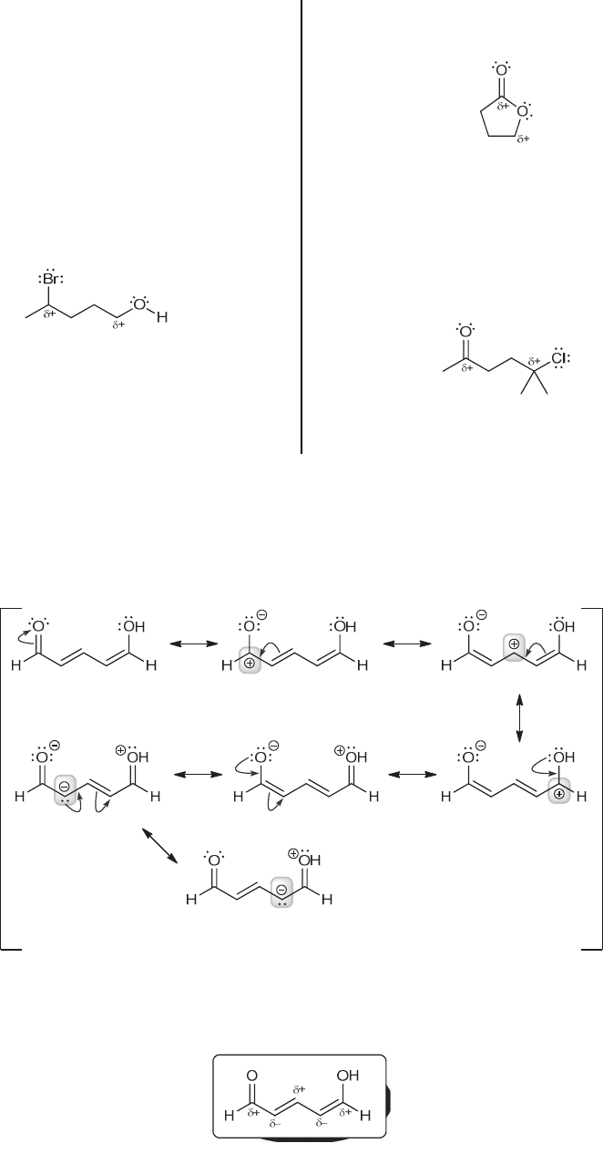
2.66. 
(a) In Section 1.5, we discussed inductive effects and we 
learned how to identify polar covalent bonds. In this 
case, there are two carbon atoms that participate in polar 
covalent bonds (the C‒Br bond and the C‒O bond). 
Each of these carbon atoms will be poor in electron 
density (+) because oxygen and bromine are each more 
electronegative than carbon: 
 
 
 
 
 
(b) There are two carbon atoms that are adjacent to 
oxygen atoms. These carbon atoms will be poor in 
electron density (+), because oxygen is more 
electronegative than carbon: 
 
 
 
The carbon atom of the carbonyl (C=O) group is 
especially electron deficient, as a result of resonance. 
 
(c) There are two carbon atoms that are adjacent to 
electronegative atoms. These carbon atoms will be poor 
in electron density (+), because oxygen and chlorine are 
each more electronegative than carbon: 
 
 
 
The carbon atom of the carbonyl (C=O) group is 
especially electron deficient, as a result of resonance. 
 
 
 
 
 
2.67. We begin by drawing all significant resonance structures, and then considering the placement of the formal 
charges in each of those resonance structures (highlighted below) 
 
 
 
A position that bears a positive charge is expected to be electron deficient (+), while a position that bears a negative 
charge is expected to be electron rich (). The following is a summary of the electron-deficient positions and the 
electron-poor positions, as indicated by the resonance structures above. 
 
 
 
www.MyEbookNiche.eCrater.com

Mais conteúdos dessa disciplina