Logo Passei Direto
Buscar
Material
páginas com resultados encontrados.
páginas com resultados encontrados.

Prévia do material em texto

CHAPTER 9 291 
 
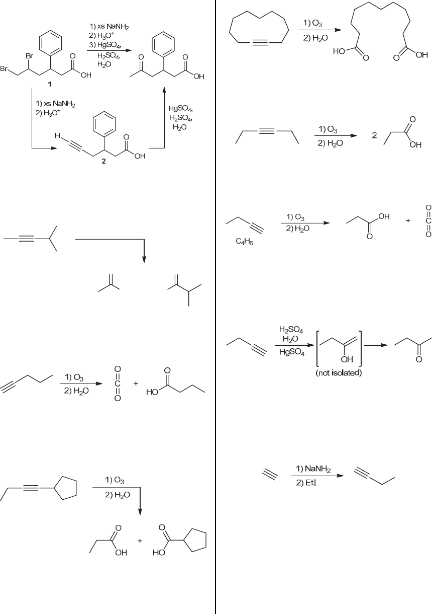
In summary, the following reagents can be used to 
convert 1 into 3: 
 
9.24. 
(a) The reagents (O3, followed by H2O) indicate 
ozonolysis. The starting material is an unsymmetrical, 
internal alkyne, so cleavage of the C≡C bond results in 
the formation of two carboxylic acids: 
 
OH
O
HO
O
+
1) O3
2) H2O
 
 
(b) The reagents (O3, followed by H2O) indicate 
ozonolysis. The starting material is a terminal alkyne, so 
cleavage of the C≡C bond results in the formation of a 
carboxylic acid and carbon dioxide (CO2): 
 
 
 
(c) The reagents (O3, followed by H2O) indicate 
ozonolysis. The starting material is an unsymmetrical, 
internal alkyne, so cleavage of the C≡C bond results in 
the formation of two carboxylic acids: 
 
 
(d) The reagents (O3, followed by H2O) indicate 
ozonolysis. The starting material is a cycloalkyne, so 
cleavage of the C≡C bond results in the formation of a 
compound with two carboxylic acid groups: 
 
 
 
9.25. If ozonolysis produces only one product, then the 
starting alkyne must be symmetrical. There is only one 
symmetrical alkyne with the molecular formula C6H10: 
 
 
 
9.26. If ozonolysis produces a carboxylic acid and 
carbon dioxide, then the starting alkyne must be 
terminal. There is only one terminal alkyne with the 
molecular formula C4H6: 
 
When this alkyne is treated with aqueous acid in the 
presence of mercuric sulfate, the alkyne is expected to 
undergo a Markovnikov addition of H and OH, 
generating an enol. This enol is not isolated, because 
upon its formation, it undergoes tautomerization to give 
a methyl ketone: 
 
 
9.27. 
(a) We begin by drawing the starting material (acetylene) 
and the product (1-butyne), which makes it more clear to 
see that the desired transformation involves a single 
alkylation process. This can be achieved by treating 
acetylene with sodium amide, followed by ethyl iodide: 
 
 
 
(b) We begin by drawing the starting material 
(acetylene) and the product (2-butyne), which makes it 
more clear to see that the desired transformation involves 
two, successive alkylation processes. The first alkylation 
is achieved by treating acetylene with sodium amide, 
followed by methyl iodide. The second alkylation 
process is then achieved upon further treatment with 
sodium amide, followed by methyl iodide. Notice that 
each alkylation process must be performed separately. 
 
www.MyEbookNiche.eCrater.com

Mais conteúdos dessa disciplina