Logo Passei Direto
Buscar
Material
páginas com resultados encontrados.
páginas com resultados encontrados.

Prévia do material em texto

752 CHAPTER 19 
 
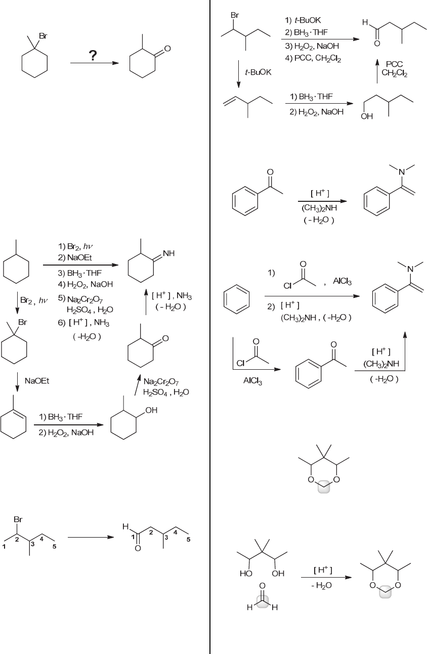
With the functional group installed, we must now bridge 
the gap between the first and last steps of the synthesis: 
 
 
 
This transformation does not involve a change in the 
carbon skeleton, but it does involve a change in both the 
location and the identity of the functional group. This 
can be achieved in just a few steps: 
 
1) elimination to give an alkene (upon treatment with 
a strong base), 
2) hydroboration-oxidation to convert the alkene into a 
secondary alcohol via anti-Markovnikov addition of 
H and OH, and 
3) oxidation of the secondary alcohol to a ketone (with 
chromic acid). 
The entire synthesis is summarized here: 
 
 
 
 
 
(f) This transformation does not involve a change in the 
carbon skeleton, but it does involve a change in both the 
location and the identity of the functional group: 
 
 
 
This can be achieved in just a few steps: 
1) elimination with a strong, sterically hindered base 
to give the less substituted alkene, 
2) hydroboration-oxidation to convert the alkene into a 
primary alcohol via anti-Markovnikov addition of H 
and OH, and 
3) oxidation of the primary alcohol to an aldehyde 
(with PCC or DMP or Swern): 
 
 
 
 
(g) The product is an enamine, which can be prepared 
from the corresponding ketone: 
 
 
This ketone can be made from benzene via a Friedel-
Crafts acylation: 
 
 
 
(h) The desired product is an acetal, because the 
following (highlighted) carbon atom is connected to two 
oxygen atoms: 
 
 
Therefore, this acetal can be made (via acetal formation) 
from the following diol and formaldehyde, as shown: 
 
 
 
So we will need to make this diol from the starting 
material. This can be achieved in just two steps. First, 
the starting diyne is treated with sulfuric acid, in the 
www.MyEbookNiche.eCrater.com

Mais conteúdos dessa disciplina