Logo Passei Direto
Buscar
Material
páginas com resultados encontrados.
páginas com resultados encontrados.

Prévia do material em texto

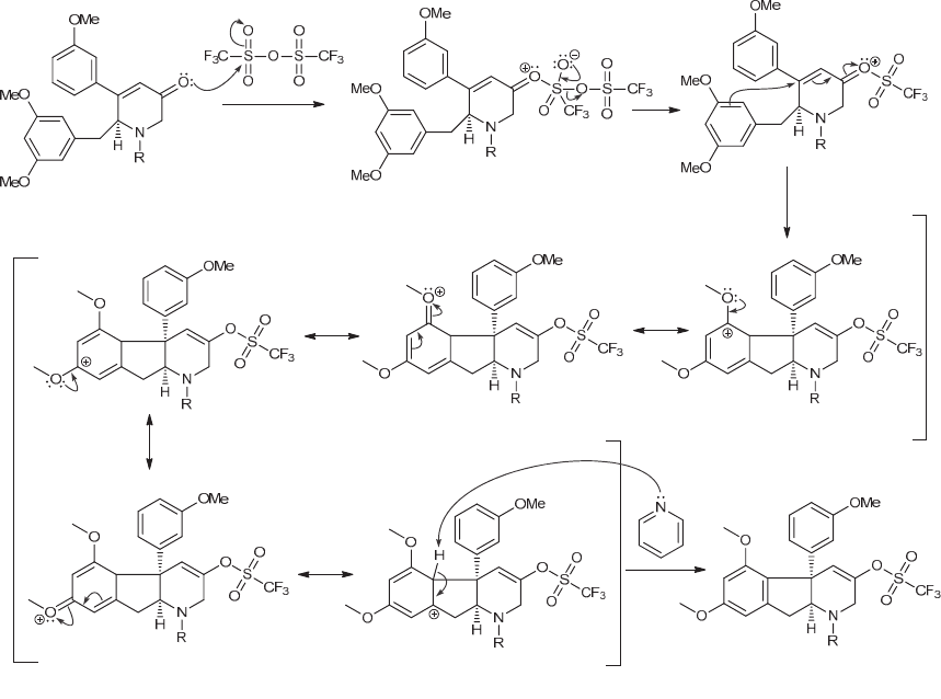
902 CHAPTER 21 
 
 
21.111. In the starting material, the dimethoxybenzyl group is in the “up” position on the chiral carbon, from the 
perspective drawn. This group thus attacks the  carbon of the ,-unsaturated ketone from the top face, pushing the 
other aromatic ring “down”, so that it ends up cis to the hydrogen on the adjacent chiral center. 
 
 
 
 
 
 
 
 
 
 
 
 
 
 
 
 
 
 
 
 
 
 
 
 
 
 
 
 
 
 
www.MyEbookNiche.eCrater.com

Mais conteúdos dessa disciplina