Logo Passei Direto
Buscar

C E N T R O D E E N S I N O H U M B E R T O D E C A M P O S

Ferramentas de estudo

Questões resolvidas

Em um laboratório de química, em condições ambientais, foram preparadas as seguintes misturas:
Quais misturas podem ser homogêneas?
I) gasolina + areia
II) água + gasolina
III) oxigênio + nitrogênio
IV) água + sal
V) água + álcool
a. II e IV, somente;
b. IV e V, somente;
c. I, II e IV, somente.
d. III, IV e V, somente;

Com relação ao número de fases, os sistemas podem ser classificados como homogêneos ou heterogêneos.
As alternativas correlacionam adequadamente o sistema e sua classificação, exceto em:
A) Água de coco/heterogêneo
B) Laranjada/heterogêneo
C) Leite/homogêneo
D) Poeira no ar/heterogêneo
E) Água do mar filtrada/homogêneo

Qual das alternativas abaixo apresenta somente substâncias compostas:
A) N2, P4, S8
B) CO, He, NH3.
C) H2O, I2, Cl2.
D) N2, O3, H2O.
E) CO2, H2O, C6H12O6

Um sistema formado por água, açúcar dissolvido, álcool comum, limalha de ferro e carvão apresenta:
Quantas fases apresenta?
A) 1 fase
B) 2 fases
C) 3 fases
D) 4 fases
E) 5 fases

Nas condições normais, quais das substâncias formam misturas heterogêneas?
a) Gasolina e querosene
b) Gasolina e água,
c) Acetona e clorofórmio
d) Etanol e metenol
e) Nitrogênio e oxigênio

Numere a segunda de acordo com a primeira, escolhendo, em seguida, a opção correspondente à numeração correta de cima para baixo.
1 - oxigênio e nitrogênio
2 - óleo e água
3 - álcool e água
4 - ferro e enxofre
5 - ar e poeira
A) 1-4-5-2-3
B) 1-5-4-3-2
C) 3-2-4-5-1
D) 3-5-4-2-1
E) 5-1-3-4-2

Um dos estados brasileiros produtores de cloreto de sódio é o Rio Grande do Norte. Nas salinas o processo físico que separa a água e o sal é:
a) filtração
b) sublimação
c) destilação
d) evaporação
e) ebulição

Assinale a alternativa onde encontramos uma substância pura, uma mistura homogênea e uma mistura heterogênea.
a) Açúcar, água doce, água do mar.
b) Leite, suco de laranja, feijoada.
c) Água destilada, água potável, água e gelo.
d) Vinagre, vinho, álcool etílico.
e) Geléia, água potável, suco de frutas.

Material
páginas com resultados encontrados.
páginas com resultados encontrados.
left-side-bubbles-backgroundright-side-bubbles-background

Crie sua conta grátis para liberar esse material. 🤩

Já tem uma conta?

Ao continuar, você aceita os Termos de Uso e Política de Privacidade

Questões resolvidas

Em um laboratório de química, em condições ambientais, foram preparadas as seguintes misturas:
Quais misturas podem ser homogêneas?
I) gasolina + areia
II) água + gasolina
III) oxigênio + nitrogênio
IV) água + sal
V) água + álcool
a. II e IV, somente;
b. IV e V, somente;
c. I, II e IV, somente.
d. III, IV e V, somente;

Com relação ao número de fases, os sistemas podem ser classificados como homogêneos ou heterogêneos.
As alternativas correlacionam adequadamente o sistema e sua classificação, exceto em:
A) Água de coco/heterogêneo
B) Laranjada/heterogêneo
C) Leite/homogêneo
D) Poeira no ar/heterogêneo
E) Água do mar filtrada/homogêneo

Qual das alternativas abaixo apresenta somente substâncias compostas:
A) N2, P4, S8
B) CO, He, NH3.
C) H2O, I2, Cl2.
D) N2, O3, H2O.
E) CO2, H2O, C6H12O6

Um sistema formado por água, açúcar dissolvido, álcool comum, limalha de ferro e carvão apresenta:
Quantas fases apresenta?
A) 1 fase
B) 2 fases
C) 3 fases
D) 4 fases
E) 5 fases

Nas condições normais, quais das substâncias formam misturas heterogêneas?
a) Gasolina e querosene
b) Gasolina e água,
c) Acetona e clorofórmio
d) Etanol e metenol
e) Nitrogênio e oxigênio

Numere a segunda de acordo com a primeira, escolhendo, em seguida, a opção correspondente à numeração correta de cima para baixo.
1 - oxigênio e nitrogênio
2 - óleo e água
3 - álcool e água
4 - ferro e enxofre
5 - ar e poeira
A) 1-4-5-2-3
B) 1-5-4-3-2
C) 3-2-4-5-1
D) 3-5-4-2-1
E) 5-1-3-4-2

Um dos estados brasileiros produtores de cloreto de sódio é o Rio Grande do Norte. Nas salinas o processo físico que separa a água e o sal é:
a) filtração
b) sublimação
c) destilação
d) evaporação
e) ebulição

Assinale a alternativa onde encontramos uma substância pura, uma mistura homogênea e uma mistura heterogênea.
a) Açúcar, água doce, água do mar.
b) Leite, suco de laranja, feijoada.
c) Água destilada, água potável, água e gelo.
d) Vinagre, vinho, álcool etílico.
e) Geléia, água potável, suco de frutas.

Prévia do material em texto

C E N T R O D E E N S I N O H U M B E R T O D E C A M P O S
A V A L I A Ç Ã O B I M E S T R A L D E Q U I M I C A - 1º ANO - T A R D E
NOME:_____________________________________________________________
01. A curiosidade natural do ser humano o leva a explorar o ambiente que o cerca, observando, analisando, realizando experiências, procurando saber o porquê das coisas. Nesta atividade, exploradora e investigativa, ele observa os fenômenos químicos e físicos para conhecer melhor a natureza.
Procure reconhecer, nas situações cotidianas citadas a seguir, quais envolvem fenômenos físicos (F) e quais envolvem fenômenos químicos (Q):
(	) Água fervendo para fazer café.
(	) Combustão da gasolina no motor de um carro.
(	) Funcionamento do motor elétrico de um liquidificador.
(	) Gordura sendo removida com detergente.
(	) Resfriamento de alimentos na geladeira.
Assinale a resposta que contemple a ordem correta:
A) Q-Q-F-F-Q.
B) F-Q-F-Q-F.
C) F-Q-F-F-Q.
D) Q-F-F-Q-F.
02. Em um laboratório de química, em condições ambientais, foram preparadas as seguintes misturas:
I) gasolina + areia
II) água + gasolina
III) oxigênio + nitrogênio
IV) água + sal
V) água + álcool
Quais misturas podem ser homogêneas?
A) III, IV e V, somente.
B) II e IV, somente.
C) IV e V, somente.
D) I, II e IV, somente.
03. Com relação ao número de fases, os sistemas podem ser classificados como homogêneos ou heterogêneos. As alternativas correlacionam adequadamente o sistema e sua classificação, exceto em:
A) Água de coco/heterogêneo
B) Laranjada/ heterogêneo
C) Leite/homogêneo
D) Poeira no ar/ heterogêneo
E) Água do mar filtrada/homogêneo
04. Qual das alternativas abaixo apresenta somente substâncias compostas:
A) N2, P4, S8 
B) CO, He, NH3.
C) H2O, I2, Cl2. 
D) N2, O3, H2O.
E) CO2, H2O, C6H12O6
05. Um sistema formado por água, açúcar dissolvido, álcool comum, limalha de ferro e carvão apresenta:
A) 1 fase 
B) 2 fases 
C) 3 fases 
D) 4 fases 
E) 5 fases
06. Nas condições normais, quais das substâncias formam misturas heterogêneas?
A) Gasolina e querosene 
B) Gasolina e água, 
C) Acetona e clorofórmio
D) Etanol e metenol 
E) Nitrogênio e oxigênio
07. Numere a segunda de acordo com a primeira, escolhendo, em seguida, a opção correspondente à numeração correta de cima para baixo.
1 - oxigênio e nitrogênio	
2 - óleo e água		
3 - álcool e água	
4 - ferro e enxofre		
5 - ar e poeira			
( ) destilação
( ) filtração
( ) separação magnética
( ) decantação
( ) liquefação
A) 1-4-5-2-3 D) 3-5-4-2-1 
B) 1-5-4-3-2 E) 5-1-3-4-2
C) 3-2-4-5-1 
08. Um dos estados brasileiros produtores de cloreto de sódio é o Rio Grande do Norte. Nas salinas o processo físico que separa a água e o sal é:
A) filtração
B) sublimação
C) destilação
D) evaporação
E) ebulição
09. Assinale a alternativa onde encontramos uma substância pura, uma mistura homogênea e uma mistura heterogênea.
A) Açúcar, água doce, água do mar.
B) Leite, suco de laranja, feijoada.
C) Água destilada, água potável, água e gelo.
D) Vinagre, vinho, álcool etílico.
E) Geleia, água potável, suco de frutas.
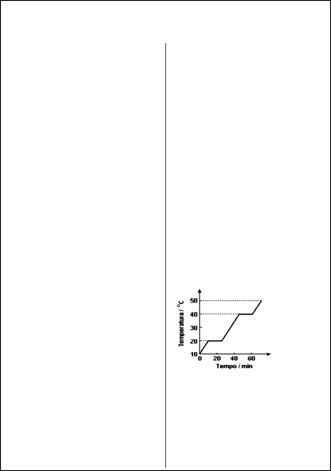
10. O gráfico abaixo representa a variação de temperatura observada ao se aquecer uma substância A durante cerca de 80 minutos.
A) Qual a faixa de temperatura em que a substância A permanece sólida?
B) Qual a faixa de temperatura em que a substância A permanece líquida?
C) Qual a temperatura de ebulição da substância?

Mais conteúdos dessa disciplina