Logo Passei Direto
Subir material
Iniciar sesión
Pruébalo gratis
Integrales indefinidas (parte 2)
Matemáticas
Outros
Diego Pereira
en
9/4/2025
0
Reportar
Reportar
Clave de respuestas
Ejercicios
Mapa mental
Resumen
Más opciones
Herramientas de estudio
Clave de respuestas
Ejercicios
Mapa mental
Resumen
Mostrar todo
Material
¡Estudia con miles de materiales!
Iniciar sesión
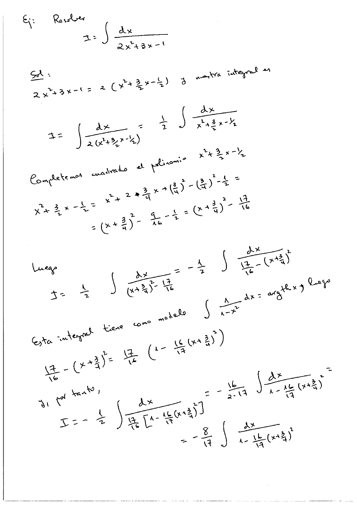
Vista previa del material en texto
img-Y28114421-0001.pdf img-Y28114421-0002.pdf
Más contenidos de este tema
Área do círculo
8 2)Gráfico aproximado de una función polinómica
Lista de exercicios concurso (1148)
Lista de exercicios concurso (1140)
Lista de exercicios concurso (1139)
Lista de exercicios concurso (1135)
Lista de exercicios concurso (1129)
Lista de exercicios concurso (1128)
Lista de exercicios concurso (1124)
Lista de exercicios concurso (1119)
Questoes-Portugues (81)
A39
A44
Mostrar más contenidos
chevronDownIcon