Logo Passei Direto

Estimación (Ejercicios propuestos)

User badge image
ALBERT

en

Herramientas de estudio

Preguntas resueltas

1.- Considere la distribución Poisson x=0,1,2,…,.Encuentre el estimador de máxima verosimilitud de λ, basado en una muestra aleatoria de tamaño n.

2.- Considere la distribución Weibull
a) Encuentre la función de verosimilitud basada en una muestra de tamaño n. Encuentre el log de la verosimilitud.
b) Demuestre que el log de la verosimilitud queda maximizado al resolver las ecuaciones


3.- Aplique el método de momentos para obtener un estimador del parámetro θ de la función de densidad uniforme (0, θ). determine un estimador de μ a través del método de momentos.


4.- Dada una muestra aleatoria de tamaño n de una población que tiene la densidad, obtenga un estimador del parámetro θ por medio del método de la máxima verosimilitud.


Material
¡Estudia con miles de materiales!

Preguntas resueltas

1.- Considere la distribución Poisson x=0,1,2,…,.Encuentre el estimador de máxima verosimilitud de λ, basado en una muestra aleatoria de tamaño n.

2.- Considere la distribución Weibull
a) Encuentre la función de verosimilitud basada en una muestra de tamaño n. Encuentre el log de la verosimilitud.
b) Demuestre que el log de la verosimilitud queda maximizado al resolver las ecuaciones


3.- Aplique el método de momentos para obtener un estimador del parámetro θ de la función de densidad uniforme (0, θ). determine un estimador de μ a través del método de momentos.


4.- Dada una muestra aleatoria de tamaño n de una población que tiene la densidad, obtenga un estimador del parámetro θ por medio del método de la máxima verosimilitud.


Vista previa del material en texto

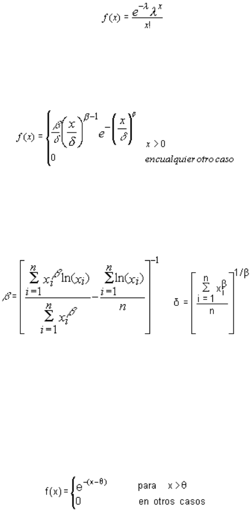
METODO DE ESTIMACIÓN 
 
 
1.- Considere la distribución Poisson x=0,1,2,…,.Encuentre el estimador 
de máxima verosimilitud de λ, basado en una muestra aleatoria de tamaño n. 
 
 
 
2.- Considere la distribución Weibull 
 
 
 
a) Encuentre la función de verosimilitud basada en una muestra de tamaño n. 
Encuentre el log de la verosimilitud. 
 
b) Demuestre que el log de la verosimilitud queda maximizado al resolver las 
ecuaciones 
 
 
 
 
 
 
3.- Aplique el método de momentos para obtener un estimador del parámetro θ de la 
función de densidad uniforme (0, θ). 
determine un estimador de μ a través del método de momentos. 
 
 
4.- Dada una muestra aleatoria de tamaño n de una población que tiene la densidad 
 
 
 
obtenga un estimador del parámetro θ por medio del método de la máxima 
verosimilitud.