Logo Passei Direto

Ejercicios repaso para el segundo parcial (1)

User badge image
Berlingo

en

Herramientas de estudio

Material
¡Estudia con miles de materiales!

Vista previa del material en texto

5 ejercicios de repaso para el segundo parcial del 2° Cuatrimestre de 2019. 
(Las respuestas a estos ejercicios las enviaremos hacia el domingo o lunes) 
 
1) Calcular: 
∫ 𝑥 · 𝑒5𝑥
2−4𝑑𝑥 
 
2) Se deben ubicar 7 hombres y 6 mujeres en una fila de manera tal que las mujeres ocupen los 
lugares pares. ¿De cuántas maneras puede hacerse? 
 
3) Hallar el valor de “k” para que la recta L: t(𝑘 , 3, 2) + (1, 3, 4) sea perpendicular al vector �⃗� =
(1,2,3) 
 
4) Hallar el valor de “c” para que el paralelogramo formado por los lados de los vectores (c , 1, 0) y 
(0, 2, 1) tenga un área igual a √6. 
 
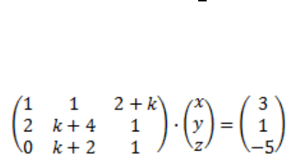
5) Hallar el valor de 𝑘 ∈ ℝ para que el siguiente sistema tenga infinitas soluciones