Logo Passei Direto
Buscar
Material

Prévia do material em texto

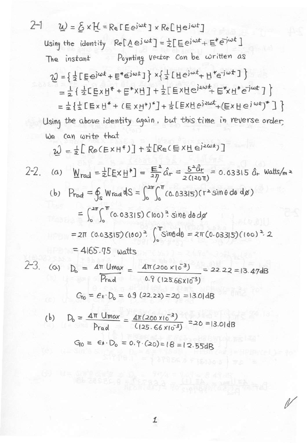
solution manual antenna theory by balanis edition2 chapter2b
	solution manual antenna theory by balanis edition2 chapter3b
	solution manual antenna theory by balanis edition2 chapter4b
	solution manual antenna theory by balanis edition2 chapter5b
	solution manual antenna theory by balanis edition2 chapter6b
	solution manual antenna theory by balanis edition2 chapter7b
	solution manual antenna theory by balanis edition2 chapter8b
	solution manual antenna theory by balanis edition2 chapter9b
	solution manual antenna theory by balanis edition2 chapter10b
	solution manual antenna theory by balanis edition2 chapter11b
	solution manual antenna theory by balanis edition2 chapter12b
	solution manual antenna theory by balanis edition2 chapter13b
	solution manual antenna theory by balanis edition2 chapter14b
	solution manual antenna theory by balanis edition2 chapter15b

Mais conteúdos dessa disciplina