Logo Passei Direto
Buscar

CORREÇÃO - 9 ANO - OUTUBRO

Ferramentas de estudo

Questões resolvidas

A função afim, também chamada de função do 1º grau, é uma função f : ℝ→ℝ, definida como f(x) = ax + b, sendo a e b números reais. As funções f(x) = x + 5, g(x) = 3√3x - 8 e h(x) = 1/2 x são exemplos de funções afim.
Um atleta ao ser submetido a um determinado treino específico apresenta, ao longo do tempo, ganho de massa muscular. A função P(t) = P0 + 0,19 t, expressa o peso do atleta em função do tempo ao realizar esse treinamento, sendo P0 o seu peso inicial e t o tempo em dias. Considere um atleta que antes do treinamento apresentava 55 kg e que necessita chegar ao peso de 60 kg, em um mês. Fazendo unicamente esse treinamento, será possível alcançar o resultado esperado?
A) 60,7 Kg
B) 62,7 Kg
C) 64,7 Kg
D) 64,8 Kg

Carlos é lojista e ganha um salário mensal de R$ 3.000,00. Além disso, a cada produto em destaque vendido, ele ganha uma comissão de 3%. Se ele vendeu 120 peças em destaque, qual será o seu salário neste mês?
Obs. f(x) = 0,03x + 3000
A) R$ 3003,60
B) R$ 3004,60
C) R$ 3005,60
D) R$ 3006,60

Dada a função f : R → R por f(x) = x² + 2x, determine o valor de f(2) + f(3) – f(1).
A) 10
B) 20
C) 30
D) 40

Dada a função f (x) = 8x + 15, calcule:
A) f(0) – f(3)
B) f(5) – f (10)
C) f(7) + f(-3)
D) f(2) + f(3)

Dada a função do 1º grau f(x) = 1 – 5x, determine:
A) f(0)
B) f(-1)
C) f(1/5)
D) f(-1/5)
E) f(8)
F) f(10)

Na produção de peças, uma fábrica tem um custo fixo de R$ 16,00 mais um custo variável de R$ 1,50 por unidade produzida. Sendo x o número de peças unitárias produzidas, o custo de produção de 400 peças será:
a) f(x) = 1,5x + 16
A) 610
B) 616
C) 620
D) 630

Material
páginas com resultados encontrados.
páginas com resultados encontrados.
left-side-bubbles-backgroundright-side-bubbles-background

Crie sua conta grátis para liberar esse material. 🤩

Já tem uma conta?

Ao continuar, você aceita os Termos de Uso e Política de Privacidade

left-side-bubbles-backgroundright-side-bubbles-background

Crie sua conta grátis para liberar esse material. 🤩

Já tem uma conta?

Ao continuar, você aceita os Termos de Uso e Política de Privacidade

left-side-bubbles-backgroundright-side-bubbles-background

Crie sua conta grátis para liberar esse material. 🤩

Já tem uma conta?

Ao continuar, você aceita os Termos de Uso e Política de Privacidade

left-side-bubbles-backgroundright-side-bubbles-background

Crie sua conta grátis para liberar esse material. 🤩

Já tem uma conta?

Ao continuar, você aceita os Termos de Uso e Política de Privacidade

left-side-bubbles-backgroundright-side-bubbles-background

Crie sua conta grátis para liberar esse material. 🤩

Já tem uma conta?

Ao continuar, você aceita os Termos de Uso e Política de Privacidade

Questões resolvidas

A função afim, também chamada de função do 1º grau, é uma função f : ℝ→ℝ, definida como f(x) = ax + b, sendo a e b números reais. As funções f(x) = x + 5, g(x) = 3√3x - 8 e h(x) = 1/2 x são exemplos de funções afim.
Um atleta ao ser submetido a um determinado treino específico apresenta, ao longo do tempo, ganho de massa muscular. A função P(t) = P0 + 0,19 t, expressa o peso do atleta em função do tempo ao realizar esse treinamento, sendo P0 o seu peso inicial e t o tempo em dias. Considere um atleta que antes do treinamento apresentava 55 kg e que necessita chegar ao peso de 60 kg, em um mês. Fazendo unicamente esse treinamento, será possível alcançar o resultado esperado?
A) 60,7 Kg
B) 62,7 Kg
C) 64,7 Kg
D) 64,8 Kg

Carlos é lojista e ganha um salário mensal de R$ 3.000,00. Além disso, a cada produto em destaque vendido, ele ganha uma comissão de 3%. Se ele vendeu 120 peças em destaque, qual será o seu salário neste mês?
Obs. f(x) = 0,03x + 3000
A) R$ 3003,60
B) R$ 3004,60
C) R$ 3005,60
D) R$ 3006,60

Dada a função f : R → R por f(x) = x² + 2x, determine o valor de f(2) + f(3) – f(1).
A) 10
B) 20
C) 30
D) 40

Dada a função f (x) = 8x + 15, calcule:
A) f(0) – f(3)
B) f(5) – f (10)
C) f(7) + f(-3)
D) f(2) + f(3)

Dada a função do 1º grau f(x) = 1 – 5x, determine:
A) f(0)
B) f(-1)
C) f(1/5)
D) f(-1/5)
E) f(8)
F) f(10)

Na produção de peças, uma fábrica tem um custo fixo de R$ 16,00 mais um custo variável de R$ 1,50 por unidade produzida. Sendo x o número de peças unitárias produzidas, o custo de produção de 400 peças será:
a) f(x) = 1,5x + 16
A) 610
B) 616
C) 620
D) 630

Prévia do material em texto

ATIVIDADES COMPLEMENTARES PEDAGÓGICAS DE MATEMÁTICA - OUTUBRO
Aluno(a): ________________________________________________ Série: 9º ano Turma: 9º Ano
Função Afim
A função afim, também chamada de função do 1º grau, é uma função f : ℝ→ℝ, definida como f(x) = ax +
b, sendo a e b números reais. As funções f(x) = x + 5, g(x) = 3√3x - 8 e h(x) = 1/2 x são exemplos de
funções afim.
Neste tipo de função, o número a é chamado de coeficiente de x e representa a taxa de crescimento ou
taxa de variação da função. Já o número b é chamado de termo constante.
Gráfico de uma Função do 1º grau
O gráfico de uma função polinomial do 1º grau é uma reta oblíqua aos eixos Ox e Oy. Desta forma, para
construirmos seu gráfico basta encontrarmos pontos que satisfaçam a função.
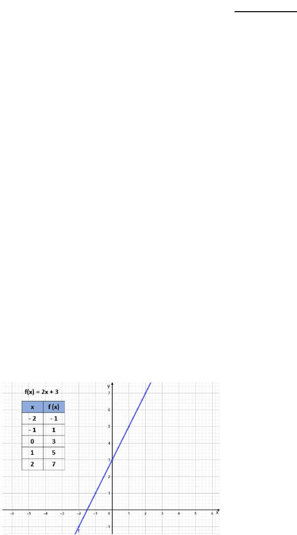
Exemplo
Construa o gráfico da função f (x) = 2x + 3.
Solução
Para construir o gráfico desta função, vamos atribuir valores arbitrários para x, substituir na equação e
calcular o valor correspondente para a f (x).
Sendo assim, iremos calcular a função para os valores de x iguais a: - 2, - 1, 0, 1 e 2. Substituindo esses
valores na função, temos:
f (- 2) = 2. (- 2) + 3 = - 4 + 3 = - 1
f (- 1) = 2 . (- 1) + 3 = - 2 + 3 = 1
f (0) = 2 . 0 + 3 = 3
f (1) = 2 . 1 + 3 = 5
f (2) = 2 . 2 + 3 = 7
Os pontos escolhidos e o gráfico da f (x) são apresentados na imagem abaixo:
No exemplo, utilizamos vários pontos para construir o gráfico, entretanto, para definir uma reta bastam 
dois pontos.
Para facilitar os cálculos podemos, por exemplo, escolher os pontos (0,y) e (x,0). Nestes pontos, a reta da 
função corta o eixo Ox e Oy respectivamente.
Coeficiente Linear e Angular
Como o gráfico de uma função afim é uma reta, o coeficiente a de x é também chamado de coeficiente 
angular. Esse valor representa a inclinação da reta em relação ao eixo Ox.
O termo constante b é chamado de coeficiente linear e representa o ponto onde a reta corta o eixo Oy. 
Pois sendo x = 0, temos:
y = a.0 + b ⇒ y = b
Quando uma função afim apresentar o coeficiente angular igual a zero (a = 0) a função será chamada de 
constante. Neste caso, o seu gráfico será uma reta paralela ao eixo Ox.
Abaixo representamos o gráfico da função constante f (x) = 4:
Ao passo que, quando b = 0 e a = 1 a função é chamada de função identidade. O gráfico da função f (x) =
x (função identidade) é uma reta que passa pela origem (0,0).
Além disso, essa reta é bissetriz do 1º e 3º quadrantes, ou seja, divide os quadrantes em dois ângulos
iguais, conforme indicado na imagem abaixo:
Temos ainda que, quando o coeficiente linear é igual a zero (b = 0), a função afim é chamada de função
linear. Por exemplo as funções f (x) = 2x e g (x) = - 3x são funções lineares.
O gráfico das funções lineares são retas inclinadas que passam pela origem (0,0).
Representamos abaixo o gráfico da função linear f (x) = - 3x:
Exemplo 1
https://www.todamateria.com.br/funcao-linear/
https://www.todamateria.com.br/funcao-linear/
Em uma determinada cidade, a tarifa cobrada pelos taxistas corresponde a uma parcela fixa chamada de
bandeirada e uma parcela referente aos quilômetros rodados. Sabendo que uma pessoa pretende fazer
uma viagem de 7 km em que o preço da bandeirada é igual a R$ 4,50 e o custo por quilômetro rodado é
igual a R$ 2,75, determine:
a) uma fórmula que expresse o valor da tarifa cobrada em função dos quilômetros rodados para essa
cidade.
b) quanto irá pagar a pessoa referida no enunciado.
a) De acordo com os dados, temos que b = 4,5, pois a bandeirada não depende da quantidade de
quilômetros percorridos.
Cada quilômetro rodado deverá ser multiplicado por 2,75. Sendo assim, esse valor será igual a taxa de
variação, ou seja, a = 2,75.
Considerando p (x) o preço da tarifa, podemos escrever a seguinte fórmula para expressar esse valor:
p (x) = 2,75 x + 4,5
b) Agora que já definimos a função, para calcular o valor da tarifa basta substituir 7 km no lugar do x.
p (7) = 2,75 . 7 + 4,5 = 19,25 + 4,5 = 23,75
Portanto, a pessoa deverá pagar R$ 23,75 por uma viagem de 7 km.
Exercício 2
O dono de uma loja de moda praia teve uma despesa de R$ 950,00 na compra de um novo modelo de
biquíni. Ele pretende vender cada peça deste biquíni por R$ 50,00. A partir de quantas peças vendidas ele
passará a ter lucro?
Considerando x a quantidade de peças vendidas, o lucro do comerciante será dado pela seguinte função:
f (x) = 50.x - 950
Ao calcularmos f (x) = 0, iremos descobrir a quantidade de peças necessárias para que o comerciante não 
tenha nem lucro, nem prejuízo.
50.x - 950 = 0
50.x = 950
x = 950 / 50
x = 19
Assim, se vender acima de 19 peças terá lucro, se vender menos que 19 peças terá prejuízo.
ATIVIDADES
1ª) Um atleta ao ser submetido a um determinado treino específico apresenta, ao longo do tempo, ganho
de massa muscular. A função P(t) = P0 + 0,19 t, expressa o peso do atleta em função do tempo ao realizar
esse treinamento, sendo P0 o seu peso inicial e t o tempo em dias.
Considere um atleta que antes do treinamento apresentava 55 kg e que necessita chegar ao peso de 60
kg, em um mês. Fazendo unicamente esse treinamento, será possível alcançar o resultado esperado?
A) 60,7 Kg
B) 62,7 Kg
C) 64,7 Kg
D) 64,8 Kg
2ª) Carlos é lojista e ganha um salário mensal de R$ 3.000,00. Além disso, a cada produto em destaque
vendido, ele ganha uma comissão de 3%. Se ele vendeu 120 peças em destaque, qual será o seu salário
neste mês? 
Obs. f(x) = 0,03x + 3000
A) R$ 3003,60
B) R$ 3004,60
C) R$ 3005,60
D) R$ 3006,60
3º) Dada a função de primeiro grau f(x) = 2x + 3, qual é o valor de f(10)?
A) 10
B) 13
C) 23
D) 30
4º)  Dada a função f : R → R por f(x) = x² + 2x, determine o valor de f(2) + f(3) – f(1).
A)10
B)20
C)30
D)40
5º) Dada a função f (x) = 8x + 15, calcule:
A) f(0) – f(3) B) f(5) – f (10)
 - 4 - 40
C) f(7) + f(-3) D) f(2) + f( 3)
 - 62 70
6º) Dada a função do 1º grau f(x) = 1 – 5x, determine:
A) f(0) B) f(-1) C) f(1/5)
 1 6 0
D) f(-1/5) E) f(8) F) f(10)
 2 - 39 - 49
7º) Na produção de peças, uma fábrica tem um custo fixo de R$ 16,00 mais um custo variável de R$ 1,50
por unidade produzida. Sendo x o número de peças unitárias produzidas,o custo de produção de 400
peças será:
a) f(x) = 1,5x + 16
A) 610
B) 616
C) 620
D) 630
8º) Um motorista de táxi cobra R$ 4,50 de bandeirada mais R$ 0,90 por quilômetro rodado. Sabendo que o
preço a pagar é dado em função do número de quilômetros rodados, calcule o preço a ser pago por uma
corrida em que se percorreu 22 quilômetros?
a) f(x) = 0,9x + 4,5
A) 20,3
B) 24,3
A) 25,3
B) 25,7
	Gráfico de uma Função do 1º grau
	Exemplo
	Coeficiente Linear e Angular
	Exemplo 1
	Exercício 2

Mais conteúdos dessa disciplina