Logo Passei Direto
Buscar

ATIVIDADE-FUNÇÕES OXIGENADAS

Ferramentas de estudo

Questões resolvidas

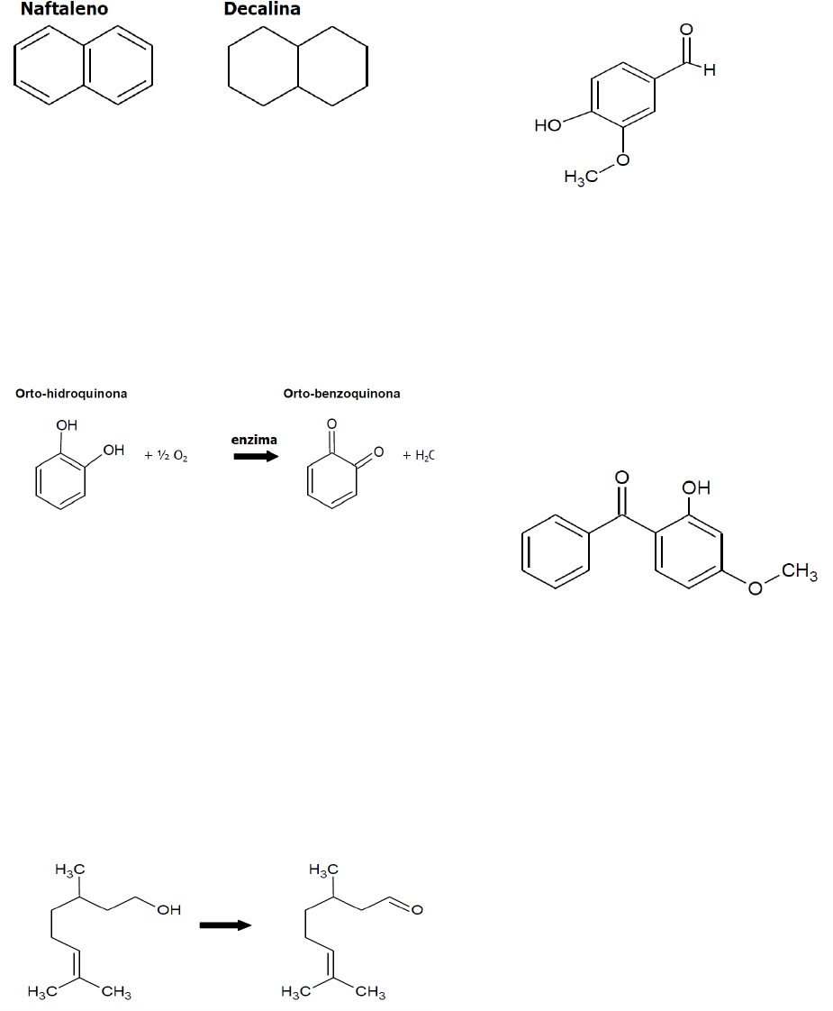
Considere as estruturas moleculares do naftaleno e da decalina, representadas abaixo. Substituindo um átomo de hidrogênio por um grupo hidroxila (OH), obtém-se dois compostos que pertencem, respectivamente às funções:
a) álcool e fenol. b) fenol e álcool. c) álcool e álcool. d) fenol e fenol. e) anidrido e álcool.
a) álcool e fenol.
b) fenol e álcool.
c) álcool e álcool.
d) fenol e fenol.
e) anidrido e álcool.

Certas frutas, como maçã e banana, escurecem em contato com o ar quando são descascadas. Isso ocorre devido a conversão da substância orto-hidroquinona em orto-benzoquinona, catalisada por uma enzima. Considerando-se essas substâncias e suas moléculas, é incorreto afirmar:
a) a orto-hidroquinona apresenta duas hidroxilas fenólicas.
b) a orto-benzoquinona apresenta duas carbonilas em suas moléculas.
c) a orto-benzoquinona apresenta moléculas saturadas.
d) a orto-hidroquinona sofre oxidação na conversão apresentada.

A equação química de conversão do citronelol em citronela, é mostrado abaixo. Nessa reação tem-se a conversão de um:
a) álcool em fenol. b) fenol em álcool. c) aldeído em cetona. d) fenol em cetona. e) álcool em aldeído.
a) álcool em fenol.
b) fenol em álcool.
c) aldeído em cetona.
d) fenol em cetona.
e) álcool em aldeído.

O aroma natural da baunilha, encontrado em doces e sorvetes, deve-se ao composto chamado vanilina, cuja fórmula estrutural está reproduzida ao lado. Em relação à molécula da vanilina, é correto afirmar que as funções químicas encontradas são:
a) álcool, éter e éster. b) aldeído, éter e fenol. c) álcool, ácido e fenol. d) aldeído, álcool e éter. e) aldeído, éster e fenol.
a) álcool, éter e éster.
b) aldeído, éter e fenol.
c) álcool, ácido e fenol.
d) aldeído, álcool e éter.
e) aldeído, éster e fenol.

Usado na fabricação de protetores solares, o composto 2-hidróxi-4-metóxi-benzofenona está representado abaixo. Dessa substância, fazem as seguintes afirmacoes e marque a alternativa correta.
I) Apresenta os grupos funcionais fenol, éter e cetona. II) Possui dois anéis aromáticos em sua estrutura. III) É um hidrocarboneto aromático ramificado.
a) I, II e III estão corretas.
b) somente II está correta.
c) somente I e III estão corretas.
d) somente III está correta.
e) somente I e II estão corretas.

A testosterona (I) é um hormônio sexual masculino responsável, entre outras coisas, pelas alterações sofridas pelos rapazes na puberdade. Já a progesterona (II) é um hormônio sexual feminino, indispensável à gravidez e estão representadas pelas respectivas estruturas abaixo.
Assinale a alternativa que indica corretamente às funções orgânicas presentes nas duas substâncias.
a) I – fenol e cetona; II - cetona.
b) I – ácido e cetona; II - aldeído.
c) I – álcool e cetona; II - aldeído.
d) I – fenol e cetona; II - ácido.
e) I – álcool e cetona; II - cetona.

Amburosídeo B, cuja estrutura é dada abaixo, foi isolado de Amburana cearensis (imburana-de-cheiro ou cumaru) na busca pelo princípio ativo responsável pela atividade antimalárica desse vegetal.
Escolha a alternativa que apresenta quatro funções orgânicas presentes no amburosídeo B.
a) álcool, fenol, cetona, ácido carboxílico.
b) cetona, éter, éster, álcool.
c) cetona, éter, ácido carboxílico, álcool.
d) fenol, éter, éster, álcool.
e) álcool, fenol, cetona, éter.

A estrutura abaixo corresponde ao medicamento de nome propanolol, indicado no tratamento de doenças do coração. Em sua estrutura estão presentes as funções orgânicas:
a) éter aromático, álcool e amina alifática. b) fenol, éter, álcool e amina aromática. c) éster, fenol e amida. d) éster alifático, álcool e amina. e) éster alifático, fenol e amina.
a) éter aromático, álcool e amina alifática.
b) fenol, éter, álcool e amina aromática.
c) éster, fenol e amida.
d) éster alifático, álcool e amina.
e) éster alifático, fenol e amina.

Considere as seguintes substâncias e as seguintes funções químicas: a. ácido carboxílico; d. cetona; b. álcool; e. éster; c. aldeído; f. éter. A opção que associa CORRETAMENTE as substâncias com as funções químicas é:
a) Id; IIc; IIIe; IVf.
b) Ic; IId; IIIe; IVa.
c) Ic; IId; IIIf; IVe.
d) Id; IIc; IIIf; IVe.
e) Ia; IIc; IIIe; IVd.

(Enem/2015) Hidrocarbonetos podem ser obtidos em laboratório por descarboxilação oxidativa anódica, processo conhecido como eletrossíntese de Kolbe. Essa reação é utilizada na síntese de hidrocarbonetos diversos, a partir de óleos vegetais, os quais podem ser empregados como fontes alternativas de energia, em substituição aos hidrocarbonetos fósseis.
Com base nesse processo, o hidrocarboneto produzido na eletrólise do ácido 3,3-dimetil-butanoico é o
a) 2,2,7,7-tetrametil-octano.
b) 3,3,4,4-tetrametil-hexano.
c) 2,2,5,5-tetrametil-hexano.
d) 3,3,6,6-tetrametil-octano.
e) 2,2,4,4-tetrametil-hexano.

(Enem/2012) A produção mundial de alimentos poderia se reduzir a 40% da atual sem a aplicação de controle sobre as pragas agrícolas. Por outro lado, o uso frequente dos agrotóxicos pode causar contaminação em solos, águas superficiais e subterrâneas, atmosfera e alimentos. Os biopesticidas, tais como a piretrina e a coronopilina, têm sido uma alternativa na diminuição dos prejuízos econômicos, sociais e ambientais gerados pelos agrotóxicos.
Identifique as funções orgânicas presentes simultaneamente nas estruturas dos dois biopesticidas apresentados:
a) Éter e éster.
b) Cetona e éster.
c) Álcool e cetona.
d) Aldeído e cetona.
e) Éter e ácido carboxílico.

(Enem/2011) A bile é produzida pelo fígado, armazenada na vesícula biliar e tem papel fundamental na digestão de lipídeos. Os sais biliares são esteroides sintetizados no fígado a partir do colesterol, e sua rota de síntese envolve várias etapas. Partindo do ácido cólico representado na figura, ocorre a formação dos ácidos glicocólico e taurocólico; o prefixo glico- significa a presença de um resíduo do aminoácido glicina e o prefixo tauro-, do aminoácido taurina.
A combinação entre o ácido cólico e a glicina ou taurina origina a função amida, formada pela reação entre o grupo amina desses aminoácidos e o grupo
a) carboxila do ácido cólico.
b) aldeído do ácido cólico.
c) hidroxila do ácido cólico.
d) cetona do ácido cólico.
e) éster do ácido cólico.

Material
páginas com resultados encontrados.
páginas com resultados encontrados.
left-side-bubbles-backgroundright-side-bubbles-background

Crie sua conta grátis para liberar esse material. 🤩

Já tem uma conta?

Ao continuar, você aceita os Termos de Uso e Política de Privacidade

left-side-bubbles-backgroundright-side-bubbles-background

Crie sua conta grátis para liberar esse material. 🤩

Já tem uma conta?

Ao continuar, você aceita os Termos de Uso e Política de Privacidade

left-side-bubbles-backgroundright-side-bubbles-background

Crie sua conta grátis para liberar esse material. 🤩

Já tem uma conta?

Ao continuar, você aceita os Termos de Uso e Política de Privacidade

Questões resolvidas

Considere as estruturas moleculares do naftaleno e da decalina, representadas abaixo. Substituindo um átomo de hidrogênio por um grupo hidroxila (OH), obtém-se dois compostos que pertencem, respectivamente às funções:
a) álcool e fenol. b) fenol e álcool. c) álcool e álcool. d) fenol e fenol. e) anidrido e álcool.
a) álcool e fenol.
b) fenol e álcool.
c) álcool e álcool.
d) fenol e fenol.
e) anidrido e álcool.

Certas frutas, como maçã e banana, escurecem em contato com o ar quando são descascadas. Isso ocorre devido a conversão da substância orto-hidroquinona em orto-benzoquinona, catalisada por uma enzima. Considerando-se essas substâncias e suas moléculas, é incorreto afirmar:
a) a orto-hidroquinona apresenta duas hidroxilas fenólicas.
b) a orto-benzoquinona apresenta duas carbonilas em suas moléculas.
c) a orto-benzoquinona apresenta moléculas saturadas.
d) a orto-hidroquinona sofre oxidação na conversão apresentada.

A equação química de conversão do citronelol em citronela, é mostrado abaixo. Nessa reação tem-se a conversão de um:
a) álcool em fenol. b) fenol em álcool. c) aldeído em cetona. d) fenol em cetona. e) álcool em aldeído.
a) álcool em fenol.
b) fenol em álcool.
c) aldeído em cetona.
d) fenol em cetona.
e) álcool em aldeído.

O aroma natural da baunilha, encontrado em doces e sorvetes, deve-se ao composto chamado vanilina, cuja fórmula estrutural está reproduzida ao lado. Em relação à molécula da vanilina, é correto afirmar que as funções químicas encontradas são:
a) álcool, éter e éster. b) aldeído, éter e fenol. c) álcool, ácido e fenol. d) aldeído, álcool e éter. e) aldeído, éster e fenol.
a) álcool, éter e éster.
b) aldeído, éter e fenol.
c) álcool, ácido e fenol.
d) aldeído, álcool e éter.
e) aldeído, éster e fenol.

Usado na fabricação de protetores solares, o composto 2-hidróxi-4-metóxi-benzofenona está representado abaixo. Dessa substância, fazem as seguintes afirmacoes e marque a alternativa correta.
I) Apresenta os grupos funcionais fenol, éter e cetona. II) Possui dois anéis aromáticos em sua estrutura. III) É um hidrocarboneto aromático ramificado.
a) I, II e III estão corretas.
b) somente II está correta.
c) somente I e III estão corretas.
d) somente III está correta.
e) somente I e II estão corretas.

A testosterona (I) é um hormônio sexual masculino responsável, entre outras coisas, pelas alterações sofridas pelos rapazes na puberdade. Já a progesterona (II) é um hormônio sexual feminino, indispensável à gravidez e estão representadas pelas respectivas estruturas abaixo.
Assinale a alternativa que indica corretamente às funções orgânicas presentes nas duas substâncias.
a) I – fenol e cetona; II - cetona.
b) I – ácido e cetona; II - aldeído.
c) I – álcool e cetona; II - aldeído.
d) I – fenol e cetona; II - ácido.
e) I – álcool e cetona; II - cetona.

Amburosídeo B, cuja estrutura é dada abaixo, foi isolado de Amburana cearensis (imburana-de-cheiro ou cumaru) na busca pelo princípio ativo responsável pela atividade antimalárica desse vegetal.
Escolha a alternativa que apresenta quatro funções orgânicas presentes no amburosídeo B.
a) álcool, fenol, cetona, ácido carboxílico.
b) cetona, éter, éster, álcool.
c) cetona, éter, ácido carboxílico, álcool.
d) fenol, éter, éster, álcool.
e) álcool, fenol, cetona, éter.

A estrutura abaixo corresponde ao medicamento de nome propanolol, indicado no tratamento de doenças do coração. Em sua estrutura estão presentes as funções orgânicas:
a) éter aromático, álcool e amina alifática. b) fenol, éter, álcool e amina aromática. c) éster, fenol e amida. d) éster alifático, álcool e amina. e) éster alifático, fenol e amina.
a) éter aromático, álcool e amina alifática.
b) fenol, éter, álcool e amina aromática.
c) éster, fenol e amida.
d) éster alifático, álcool e amina.
e) éster alifático, fenol e amina.

Considere as seguintes substâncias e as seguintes funções químicas: a. ácido carboxílico; d. cetona; b. álcool; e. éster; c. aldeído; f. éter. A opção que associa CORRETAMENTE as substâncias com as funções químicas é:
a) Id; IIc; IIIe; IVf.
b) Ic; IId; IIIe; IVa.
c) Ic; IId; IIIf; IVe.
d) Id; IIc; IIIf; IVe.
e) Ia; IIc; IIIe; IVd.

(Enem/2015) Hidrocarbonetos podem ser obtidos em laboratório por descarboxilação oxidativa anódica, processo conhecido como eletrossíntese de Kolbe. Essa reação é utilizada na síntese de hidrocarbonetos diversos, a partir de óleos vegetais, os quais podem ser empregados como fontes alternativas de energia, em substituição aos hidrocarbonetos fósseis.
Com base nesse processo, o hidrocarboneto produzido na eletrólise do ácido 3,3-dimetil-butanoico é o
a) 2,2,7,7-tetrametil-octano.
b) 3,3,4,4-tetrametil-hexano.
c) 2,2,5,5-tetrametil-hexano.
d) 3,3,6,6-tetrametil-octano.
e) 2,2,4,4-tetrametil-hexano.

(Enem/2012) A produção mundial de alimentos poderia se reduzir a 40% da atual sem a aplicação de controle sobre as pragas agrícolas. Por outro lado, o uso frequente dos agrotóxicos pode causar contaminação em solos, águas superficiais e subterrâneas, atmosfera e alimentos. Os biopesticidas, tais como a piretrina e a coronopilina, têm sido uma alternativa na diminuição dos prejuízos econômicos, sociais e ambientais gerados pelos agrotóxicos.
Identifique as funções orgânicas presentes simultaneamente nas estruturas dos dois biopesticidas apresentados:
a) Éter e éster.
b) Cetona e éster.
c) Álcool e cetona.
d) Aldeído e cetona.
e) Éter e ácido carboxílico.

(Enem/2011) A bile é produzida pelo fígado, armazenada na vesícula biliar e tem papel fundamental na digestão de lipídeos. Os sais biliares são esteroides sintetizados no fígado a partir do colesterol, e sua rota de síntese envolve várias etapas. Partindo do ácido cólico representado na figura, ocorre a formação dos ácidos glicocólico e taurocólico; o prefixo glico- significa a presença de um resíduo do aminoácido glicina e o prefixo tauro-, do aminoácido taurina.
A combinação entre o ácido cólico e a glicina ou taurina origina a função amida, formada pela reação entre o grupo amina desses aminoácidos e o grupo
a) carboxila do ácido cólico.
b) aldeído do ácido cólico.
c) hidroxila do ácido cólico.
d) cetona do ácido cólico.
e) éster do ácido cólico.

Prévia do material em texto

ATIVIDADE – FUNÇÕES OXIGENADAS
 
1. Considere as estruturas moleculares do naftaleno e da decalina, representadas abaixo. Substituindo um átomo de hidrogênio por um grupo hidroxila (OH), obtém-se dois compostos que pertencem, respectivamente às funções:
a) álcool e fenol.
b) fenol e álcool.
c) álcool e álcool.
d) fenol e fenol.
e) anidrido e álcool.
2. Certas frutas, como maçã e banana, escurecem em contato com o ar quando são descascadas. Isso ocorre devido a conversão da substância orto-hidroquinona em orto-benzoquinona, catalisada por uma enzima. 
Considerando-se essas substâncias e suas moléculas, é incorreto afirmar:
a) a orto-hidroquinona apresenta duas hidroxilas fenólicas.
b) a orto-benzoquinona apresenta duas carbonilas em suas moléculas.
c) a orto-benzoquinona apresenta moléculas saturadas.
d) a orto-hidroquinona sofre oxidação na conversão apresentada.
3. A equação química de conversão do citronelol em citronela, é mostrado abaixo. Nessa reação tem-se a conversão de um:
a) álcool em fenol.
b) fenol em álcool.
c) aldeído em cetona.
d) fenol em cetona.
e) álcool em aldeído.
4. O aroma natural da baunilha, encontrado em doces e sorvetes, deve-se ao composto chamado vanilina, cuja fórmula estrutural está reproduzida ao lado. Em relação à molécula da vanilina, é correto afirmar que as funções químicas encontradas são:
a) álcool, éter e éster.
b) aldeído, éter e fenol.
c) álcool, ácido e fenol.
d) aldeído, álcool e éter.
e) aldeído, éster e fenol.
5. Usado na fabricação de protetores solares, o composto 2-hidróxi-4-metóxi-benzofenona está representado abaixo. Dessa substância, fazem as seguintes afirmações e marque a alternativa correta.
I) Apresenta os grupos funcionais fenol, éter e cetona.
II) Possui dois anéis aromáticos em sua estrutura.
III) É um hidrocarboneto aromático ramificado.
a) I, II e III estão corretas.
b) somente II está correta.
c) somente I e III estão corretas.
d) somente III está correta.
e) somente I e II estão corretas.
6. A testosterona (I) é um hormônio sexual masculino responsável, entre outras coisas, pelas alterações sofridas pelos rapazes na puberdade. Já a progesterona (II) é um hormônio sexual feminino, indispensável à gravidez e estão representadas pelas respectivas estruturas abaixo. Assinale a alternativa que indica corretamente às funções orgânicas presentes nas duas substâncias.
a) I – fenol e cetona; II - cetona.
b) I – ácido e cetona; II - aldeído.
c) I – álcool e cetona; II - aldeído.
d) I – fenol e cetona; II - ácido.
e) I – álcool e cetona; II - cetona.
7. Amburosídeo B, cuja estrutura é dada abaixo, foi isolado de Amburana cearensis (imburana-de-cheiro ou cumaru) na busca pelo princípio ativo responsável pela atividade antimalárica desse vegetal. Escolha a alternativa que apresenta quatro funções orgânicas presentes no amburosídeo B.
a) álcool, fenol, cetona, ácido carboxílico.
b) cetona, éter, éster, álcool.
c) cetona, éter, ácido carboxílico, álcool.
d) fenol, éter, éster, álcool.
e) álcool, fenol, cetona, éter.
8. A estrutura abaixo corresponde ao medicamento de nome propanolol, indicado no tratamento de doenças do coração. Em sua estrutura estão presentes as funções orgânicas:
a) éter aromático, álcool e amina alifática.
b) fenol, éter, álcool e amina aromática.
c) éster, fenol e amida.
d) éster alifático, álcool e amina.
e) éster alifático, fenol e amina.
9.Considere as seguintes substâncias:
e as seguintes funções químicas:
a. ácido carboxílico;
b. álcool;                    
c. aldeído; 
d. cetona;
e. éster; 
f. éter.
A opção que associa CORRETAMENTE as substâncias com as funções químicas é:
a) Id; IIc; IIIe; IVf.
b) Ic; IId; IIIe; IVa.
c) Ic; IId; IIIf; IVe.
d) Id; IIc; IIIf; IVe.
e) Ia; IIc; IIIe; IVd.
10. (Enem/2015) Hidrocarbonetos podem ser obtidos em laboratório por descarboxilação oxidativa anódica, processo conhecido como eletrossíntese de Kolbe. Essa reação é utilizada na síntese de hidrocarbonetos diversos, a partir de óleos vegetais, os quais podem ser empregados como fontes alternativas de energia, em substituição aos hidrocarbonetos fósseis. O esquema ilustra simplificadamente esse processo
OULART, M. O. F. Estereosseletividade em reações eletródicas. Química Nova, n. 2, 1997 (adaptado).
Com base nesse processo, o hidrocarboneto produzido na eletrólise do ácido 3,3-dimetil-butanoico é o
a) 2,2,7,7-tetrametil-octano.
b) 3,3,4,4-tetrametil-hexano.
c) 2,2,5,5-tetrametil-hexano.
d) 3,3,6,6-tetrametil-octano.
e) 2,2,4,4-tetrametil-hexano.
11. (Enem/2012) A produção mundial de alimentos poderia se reduzir a 40% da atual sem a aplicação de controle sobre as pragas agrícolas. Por outro lado, o uso frequente dos agrotóxicos pode causar contaminação em solos, águas superficiais e subterrâneas, atmosfera e alimentos. Os biopesticidas, tais como a piretrina e a coronopilina, têm sido uma alternativa na diminuição dos prejuízos econômicos, sociais e ambientais gerados pelos agrotóxicos.
Identifique as funções orgânicas presentes simultaneamente nas estruturas dos dois biopesticidas apresentados:
a) Éter e éster.
b) Cetona e éster.
c) Álcool e cetona.
d) Aldeído e cetona.
e) Éter e ácido carboxílico.
12. (Enem/2011) A bile é produzida pelo fígado, armazenada na vesícula biliar e tem papel fundamental na digestão de lipídeos. Os sais biliares são esteroides sintetizados no fígado a partir do colesterol, e sua rota de síntese envolve várias etapas. Partindo do ácido cólico representado na figura, ocorre a formação dos ácidos glicocólico e taurocólico; o prefixo glico- significa a presença de um resíduo do aminoácido glicina e o prefixo tauro-, do aminoácido taurina.
UCKO, D. A. Química para as Ciências da Saúde: uma Introdução à Química Geral, Orgânica e Biológica. São Paulo: Manole,1992 (adaptado).
A combinação entre o ácido cólico e a glicina ou taurina origina a função amida, formada pela reação entre o grupo amina desses aminoácidos e o grupo
a) carboxila do ácido cólico.
b) aldeído do ácido cólico.
c) hidroxila do ácido cólico.
d) cetona do ácido cólico.
e) éster do ácido cólico.

Mais conteúdos dessa disciplina