Logo Passei Direto
Buscar
Material
left-side-bubbles-backgroundright-side-bubbles-background

Crie sua conta grátis para liberar esse material. 🤩

Já tem uma conta?

Ao continuar, você aceita os Termos de Uso e Política de Privacidade

Prévia do material em texto

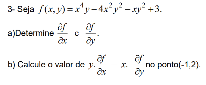
3- Seja a) b) Calcule o valor de y. ponto(-1,2).

Mais conteúdos dessa disciplina