Logo Passei Direto
Buscar
Material
páginas com resultados encontrados.
páginas com resultados encontrados.
left-side-bubbles-backgroundright-side-bubbles-background

Experimente o Premium!star struck emoji

Acesse conteúdos dessa e de diversas outras disciplinas.

Libere conteúdos
sem pagar

Ajude estudantes e ganhe conteúdos liberados!

left-side-bubbles-backgroundright-side-bubbles-background

Experimente o Premium!star struck emoji

Acesse conteúdos dessa e de diversas outras disciplinas.

Libere conteúdos
sem pagar

Ajude estudantes e ganhe conteúdos liberados!

left-side-bubbles-backgroundright-side-bubbles-background

Experimente o Premium!star struck emoji

Acesse conteúdos dessa e de diversas outras disciplinas.

Libere conteúdos
sem pagar

Ajude estudantes e ganhe conteúdos liberados!

Prévia do material em texto

Pincel Atômico - 18/08/2024 15:26:53 1/3
THAYANA FERREIRA
BARRETO
CAMINHO DO CONHECIMENTO
Atividade finalizada em 18/08/2024 15:26:43 (tentativa: 2)
LEGENDA
Resposta correta na questão
# Resposta correta - Questão Anulada
X Resposta selecionada pelo Aluno
Disciplina:
TEORIA DOS NÚMEROS [capítulos - 4] - Avaliação com questões, com o peso total de 1,67 pontos
Turma:
Segunda Graduação: Segunda Graduação 6 meses - Licenciatura em Matemática - Grupo: FPD-OUTUBRO/2023 - SGegu0A091023 [102175]
Aluno(a):
91519018 - THAYANA FERREIRA BARRETO - Respondeu 7 questões corretas, obtendo um total de 1,46 pontos como nota
Questão
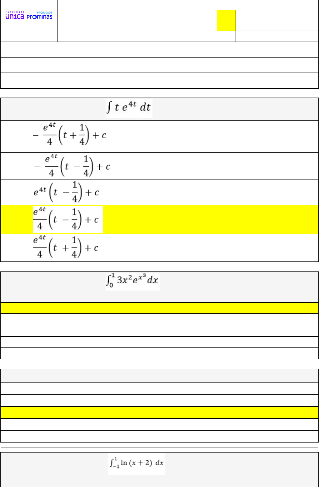
001 Calculando a integral pelo método da integração por partes, teremos : 
A)
B)
C)
X D)
E)
Questão
002 Calculando a integral pelo método da integração por partes, teremos
:
X A) e - 1
B) - e + 1
C) - e - 1
D) e
E) e +1
Questão
003 Calculando a integral ∫ x2 ex dx pelo método da integração por partes, teremos:
A) – x2ex + 2xex + 2ex + c
B) x2ex + 2xex – 2ex + c
X C) x2ex – 2xex + 2ex + c
D) x2ex – 2xex – 2ex + c
E) – x2 ex – 2xex – 2ex + c
Questão
004 Calculando a integral pelo método da integração por partes,
teremos:
Pincel Atômico - 18/08/2024 15:26:53 2/3
A) 2 ln 3 – 3
B) 3 ln 3 + 2
X C) 3 ln 3 – 2
D) – 3 ln 3 + 2
E) –3 ln 3 – 2
Questão
005 Calculando a integral pelo método da integração por partes,
teremos : 
A) - 2
B) -1
C) 2
X D) 0
E) 1
Questão
006 Calculando a integral ∫1
e x2 lnx dx pelo método da integração por partes, teremos:
A)
B)
C)
D) ( – 2e3 +1)
X E)
Questão
007 Calculando a integral ∫ xln(x) dx pelo método da integração por partes, teremos:
A)
B)
C)
D)
X E)
Questão
008 Calculado a integral pelo método da integração por partes, teremos :
Pincel Atômico - 18/08/2024 15:26:53 3/3
A)
B)
X C)
D)
E)

Mais conteúdos dessa disciplina