Logo Passei Direto
Buscar
Material
left-side-bubbles-backgroundright-side-bubbles-background

Crie sua conta grátis para liberar esse material. 🤩

Já tem uma conta?

Ao continuar, você aceita os Termos de Uso e Política de Privacidade

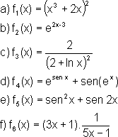
Prévia do material em texto

<p>= = 2 c) = x)2 d) = sen + sen(e*) e) = + sen 2x f) = 1 5x-1 -</p>

Mais conteúdos dessa disciplina