Logo Passei Direto
Buscar
Material

Prévia do material em texto

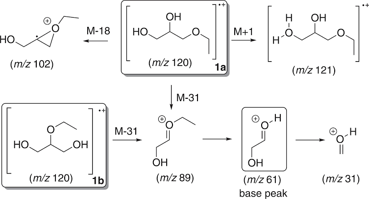
OH + H OH M-18 HO M+1 HO H (m/z 102) (m/z 120) 1a (m/z 121) M-31 + + H M-31 + H HO OH OH OH (m/z 120) 1b (m/z 89) (m/z 61) (m/z 31) base peak

Mais conteúdos dessa disciplina