Logo Passei Direto
Buscar

Chegg Solutions for Microelectronic Circuits (Adel S Sedra, Kenneth C Smith) (Z-Library)_parte_473

Material
páginas com resultados encontrados.
páginas com resultados encontrados.

Prévia do material em texto

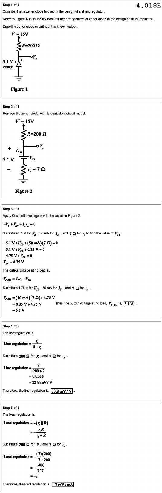
Step of 5 4.018E Consider that a zener diode is used in the design of a shunt regulator. Refer to Figure 4.19 in the textbook for the arrangement of zener diode in the design of shunt regulator. Draw the zener diode circuit with the known values. = 15V R=200 Ω 5.1 V zener Figure 1 Step 2 of 5 Replace the zener diode with its equivalent circuit model. = 15V R=200 Ω + 5.1 V - = Figure 2 Step of 5 Apply Kirchhoff's voltage law to the circuit in Figure 2. Substitute 5.1 V for V₂ 50 mA for and 7Ω for to find the value of The output voltage at no load is, Substitute 4.75 V for V₂₀ 50 mA for and 7 for Thus, the output voltage at no load, is, =5.1V Step of 5 The line regulation is, Line regulation = R+r, Substitute 200 Ω for and 7 Ω for 7 Line regulation = 200+7 = 0.0338 = 33.8 mV V Therefore, the line regulation is, 33.8 V Step 5 of 5 The load regulation is, Load = Substitute 200 Ω for R and 7Ω for Load regulation= (7)(200) 7+200 = 1400 207 ≈ -7 Therefore, the load regulation is, -7

Mais conteúdos dessa disciplina