Logo Passei Direto
Buscar

Chegg Solutions for Microelectronic Circuits (Adel S Sedra, Kenneth C Smith) (Z-Library)_parte_431

Material
páginas com resultados encontrados.
páginas com resultados encontrados.
left-side-bubbles-backgroundright-side-bubbles-background

Crie sua conta grátis para liberar esse material. 🤩

Já tem uma conta?

Ao continuar, você aceita os Termos de Uso e Política de Privacidade

Prévia do material em texto

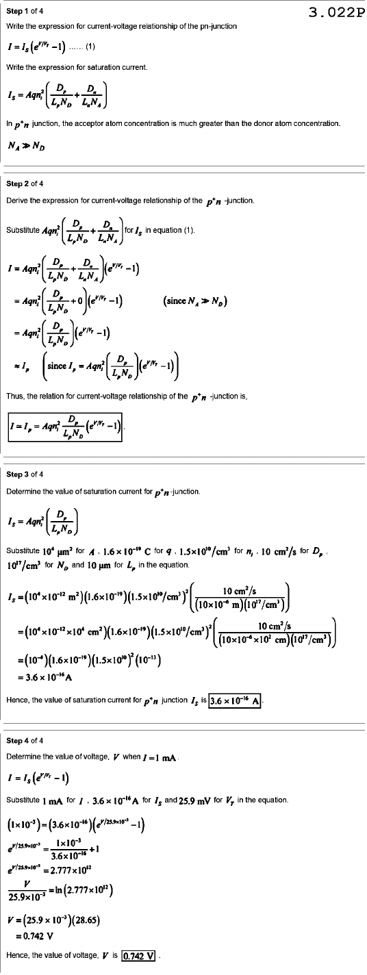
Step 1 of 4 3.022P Write the expression for current-voltage relationship of the pn-junction (1) Write the expression for saturation current. = In junction, the acceptor atom concentration is much greater than the donor atom concentration. Step 2 of 4 Derive the expression for current-voltage relationship of the p*n -junction. Substitute + for in equation (1). I = = Thus, the relation for current-voltage relationship of the -junction is, Step 3 of 4 Determine the value of saturation current for -junction. = Substitute µm² for A for for n, 10 cm²/s for D, for and 10 µm for L, in the equation. Hence, the value of saturation current for junction is 10⁻¹⁶ A Step 4 of 4 Determine the value of voltage, V when I = mA Substitute 1 mA for I 3.6 10⁻¹⁶ A for Iₛ and 25.9 mV for in the equation. =0.742 V Hence, the value of voltage, V is 0.742 V

Mais conteúdos dessa disciplina