Logo Passei Direto
Buscar
Material
páginas com resultados encontrados.
páginas com resultados encontrados.
left-side-bubbles-backgroundright-side-bubbles-background

Crie sua conta grátis para liberar esse material. 🤩

Já tem uma conta?

Ao continuar, você aceita os Termos de Uso e Política de Privacidade

Prévia do material em texto

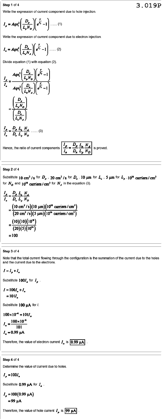
Step 1 of 4 3.019P Write the expression of current component due to hole injection. = (1) Write the expression of current component due to electron injection. = (2) Divide equation (1) with equation (2). = = (3) L, Hence, the ratio of current components = is proved. Step 2 of 4 Substitute 10 for D, , 20 for D, 10 µm for Ln , 5 µm for L, carriers/cm for and 10" carriers/ for N, in the equation (3). = = (20 = =100 Step 3 of 4 Note that the total current flowing through the configuration is the summation of the current due to the holes and the current due to the electrons. Substitute 100/, for = Substitute 100 µA for 101 Therefore, the value of electron current is 0.99 Step 4 of 4 Determine the value of current due to holes. Substitute 0.99 for = 99 Therefore, the value of hole current is 99 A

Mais conteúdos dessa disciplina