Logo Passei Direto
Buscar

Chegg Solutions for Microelectronic Circuits (Adel S Sedra, Kenneth C Smith) (Z-Library)_parte_606

Ferramentas de estudo

Material
páginas com resultados encontrados.
páginas com resultados encontrados.

Prévia do material em texto

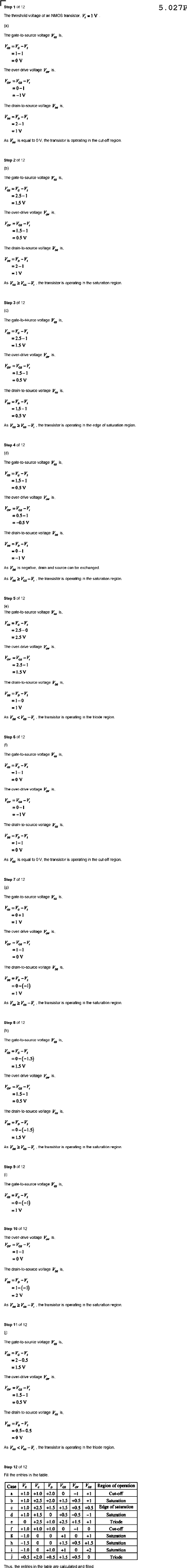
5.027P (a) =1-1 (b) =2.5-1 =1.5-1 =2-1 (c) =2.5-1 =1.5-1 =0.5V Step 4 of 12 (d) =1.5-1 =0.5V =0.5-1 =-1V =2.5-0 =2.5-1 =1.5V =1-0 -1V (f) =0V =0-1 =-1V =1-1 Step 7 of 12 =0+1 =1-1 =1V (h) -0-(-1.5) =1.5-1 =0-(-1.5) Step 9 of 12 =IV Step 10 of 12 =1-1 =1-(-1) =2V Step 11 of 12 =1.5-1 =0.5V =0.5-0.5 Step 12 of 12 Cut-off Saturation +0.5 Edge of saturation Saturation Triode Cut-off +1 Saturation Saturation Saturation Triode

Mais conteúdos dessa disciplina