Logo Passei Direto
Buscar

Chegg Solutions for Microelectronic Circuits (Adel S Sedra, Kenneth C Smith) (Z-Library)_parte_985

Material
páginas com resultados encontrados.
páginas com resultados encontrados.

Prévia do material em texto

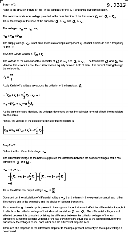
Step 1 of 2 9.031P Refer to the circuit in Figure 8.16(a) in the textbook for the BJT differential pair configuration. The common mode input voltage provided to the base terminal of the transistors and is Thus, the voltage at the base of the transistor is and is The voltages, and are, The supply voltage is not pure. It consists of ripple component v, of small amplitude and a frequency of 120 Hz. Thus the supply voltage is The voltage at the collector of the transistor of is and is The transistors and are identical transistors. Hence, the current divides equally between both of them. The current flowing through the collector is, Apply Kirchhoff's voltage law across the collector of the transistor, As the transistors are identical, the voltages developed across the collector terminal of both the transistors are the same. Hence, the voltage at the collector terminal of the transistors is, Step 2 of 2 Determine the differential voltage, The differential voltage as the name suggests is the difference between the collector voltages of the two transistors, and = Thus, the differential output voltage is 0 Observe from the calculation of differential voltage Vod that the terms in the expression cancel each other. This occurs due to the symmetry and the choice of identical transistors. Thus, even though there is ripple present in the supply voltage, it does not affect the differential voltage, but it reflects in the collector voltage of the individual transistors and The differential voltage is not affected because it is computed by taking the difference between the collector voltages of the two transistors. Since the collector voltages of the two transistors are equal due to the identical nature of the transistors, the voltages cancel each other and the differential output is zero. Therefore, the response of the differential amplifier to the ripple present inherently in the supply voltage is determined.

Mais conteúdos dessa disciplina