Logo Passei Direto
Buscar
Buscar
Clube PD
Aprender Inglês
PD Concursos
Enviar material
Entrar
Chegg Solutions for Microelectronic Circuits (Adel S Sedra, Kenneth C Smith) (Z-Library)_parte_1290
Resistência dos Materiais
Exatas
Bruno Henrique Rubituci
em
15/10/2025
0
0
Reportar
Reportar
Gabarito
Exercícios
Mapa mental
Resumo
Mais opções
Ferramentas de estudo
Gabarito
Exercícios
Mapa mental
Resumo
Mostrar todas
Material
Buscar
páginas com resultados encontrados.
páginas com resultados encontrados.
Buscar
Prévia do material em texto
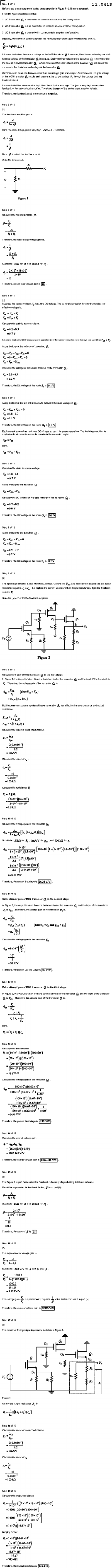
Figure 2 a in
Mais conteúdos dessa disciplina
Atividade Pratica Resistencia dos Materiais
forum
Chegg Solutions for Microelectronic Circuits (Adel S Sedra, Kenneth C Smith) (Z-Library)_parte_1080
Questionário sobre Cordas
Saúde Coletiva
Como pode ser chamada a composicao de uma dose
FAZENDO ASSIM QUE VOCÊ GANHA DINHEIRO EM CASA COM A IMPRESSÃO 3D - Resumo
RESOLUÇÃO - (032 99116 - 4945) - ATIVIDADE PRÁTICA - MATERIAIS, ACABAMENTOS E REVESTIMENTOS
C12
1_Lista_de_exerccios_EME405T (1)
Lista de exercicios 3 (1)
Figma Live Figma Make Supabase - Resumo
as vigas biapoiadas podem ser submetidas a diferentes tipos de carregamento, como concentradas, cargas distribuídas uniformemente ou cargas distrib...
o torque no conjunto é dado por:T=50N x(0225+0,175)m A tensão na seção AB é dada por Tab = TxC/J = (20,00 N.m ) x (0,009375)m/ Pi /2 (0,0093754-0,0085
Em sistemas mecânicos, como eixos circulares, a deformação é uma consequência natural da aplicação de forças, especialmente quando sujeitos a torçã...
Identifique corretamente as características de um diagrama tensão-deformação de um material dúctil (aço): Autor (2019) Clique na sua resposta abaixo 1
O pino de suporte sustenta a carga de 3,5 kN. Determine as componentes da tensão no elemento estrutural do suporte no ponto A. O suporte tem 12 mm ...
“Por consequência, a convenção de sinal que definimos também pode ser lembrada por meio da simples observação de que a tensão normal age para fora de
Se 0 torque aplicado ao eixo CD for T 75 Nm, determine a tensão de cisalhamento máxima absoluta em cada eixo. Os mancais B, C e D permitem a livre rot
Um projeto de veleiro é testado em um canal. Quer se verificar a força de arrasto no casco a uma dada velocidade. Esse protótipo é colocado no cana...
O ensaio de tração é uma técnica amplamente utilizada para avaliar as propriedades mecânicas dos materiais. Durante esse ensaio, um corpo de prova ...
as acrgas internas que agem sobre uma seção transversal no eixo de acionamento de uma turbina de 150 mm de diamentro consistem em uma força axial de 1
Por consequência, a convenção de sinal que definimos também pode ser lembrada por meio da simples observação de que a tensão normal positiva age para
A viga de aba larga está sujeita à força de 50 kN. Determine as tensões principais no ponto A localizado na alma na parte inferior da aba supe rior
O eixo maciço está sujeito a um torque, mo?mento fletor e força de cisalhamento. Determine as tensões principais que agem nos pontos ?! e B e a ten?sã
enegep2010_TN_STO_128_824_17393
NBR 6484 - 2020 - Sondagem de Simples Reconhecimento (SPT) - OK!
Mostrar mais conteúdos
chevronDownIcon