Logo Passei Direto
Buscar

Chegg Solutions for Microelectronic Circuits (Adel S Sedra, Kenneth C Smith) (Z-Library)_parte_1821

User badge image
COVAPI

em

Material
páginas com resultados encontrados.
páginas com resultados encontrados.

Prévia do material em texto

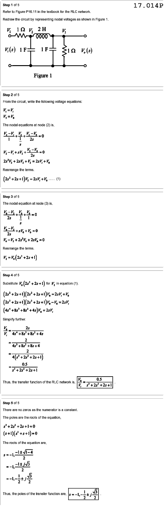
Step 1 of 5 17.014P Refer to Figure P16.11 in the textbook for the RLC network. Redraw the circuit by representing nodal voltages as shown in Figure 1. V₁ V₂ 2H 0000 1F 1F (s) Figure 1 Step of 5 From the circuit, write the following voltage equations: The nodal equations at node (2) is, 1 2s 2s Rearrange the terms. (1) Step 3 of 5 The nodal equation at node (3) is, 2s 2s Rearrange the terms. Step of 5 Substitute for in equation (1). Simplify further. 2s 2 = 2 = 0.5 = 0.5 Thus, the transfer function of the RLC network is, Step 5 of 5 There are no zeros as the numerator is a constant. The poles are the roots of the equation, The roots of the equation are, 2 = 2 Thus, the poles of the transfer function are, 2

Mais conteúdos dessa disciplina