Prévia do material em texto
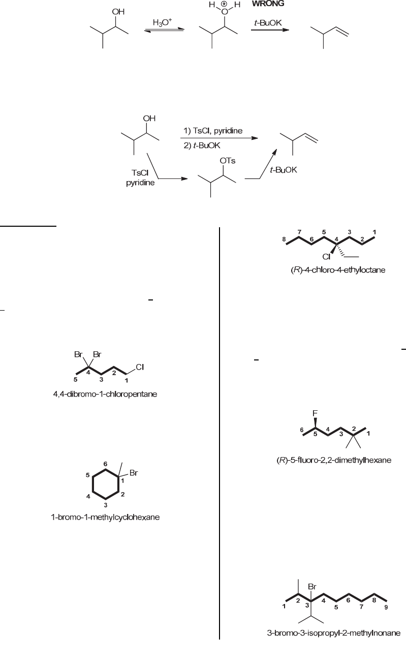
184 CHAPTER 7 It doesn’t work because it is not possible to have a strong acid (H3O+) and a strong base (t-BuOK) present in the same reaction flask at the same time (they would simply neutralize each other). In order to achieve the desired transformation, the OH group must first be converted to a tosylate (rather than simply being protonated), and then the desired reaction can be performed, as shown here: Solutions 7.1. (a) The parent is the longest chain, which is five carbon atoms in this case (pentane). There are three substituents (bromo, bromo, and chloro), and their locants are assigned as 4, 4, and 1, respectively. In this case, the parent was numbered from right to left, so as to give the lowest number to the first substituent (1,4,4 rather than 2,2,5). Notice that two locants are necessary (rather than one) to indicate the locations of the two bromine atoms, even though they are connected to the same position (4,4-dibromo rather than 4-dibromo). (b) The parent is a six-membered ring (cyclohexane). There are two substituents (methyl and bromo), both of which are located at the C1 position. Substituents are alphabetized in the name (bromo precedes methyl). (c) The parent is the longest chain, which is eight carbon atoms in this case (octane). There are two substituents (ethyl and chloro), both of which are located at the C4 position. These substituents are alphabetized (chloro precedes ethyl). In this case, there is also a chiral center, so we must assign the configuration (R), which must be indicated at the beginning of the name. (d) The parent is the longest chain, which is six carbon atoms in this case (hexane). There are three substituents (fluoro, methyl, and methyl), and their locants are assigned as 5, 2, and 2, respectively. In this case, the parent was numbered from right to left, so as to give the lowest number to the second substituent (2,2,5 rather than 2,5,5). The substituents are arranged alphabetically in the name, so fluoro precedes dimethyl (the former is “f” and the latter is “m”). In this case, there is also a chiral center, so we must assign the configuration (R), which must be indicated at the beginning of the name. (e) The parent is the longest chain, which is nine carbon atoms in this case (nonane). There are three substituents (methyl, bromo, and isopropyl), and their locants are assigned as 2, 3, and 3, respectively. The substituents are arranged alphabetically in the name (note that isopropyl is alphabetized as “i” rather than as “p”, so it comes before methyl). In this case, there is no chiral center (C2 is connected to two methyl groups, and C3 is connected to two isopropyl groups). www.MyEbookNiche.eCrater.com