Logo Passei Direto
Buscar
Material
páginas com resultados encontrados.
páginas com resultados encontrados.

Prévia do material em texto

CHAPTER 13 479 
 
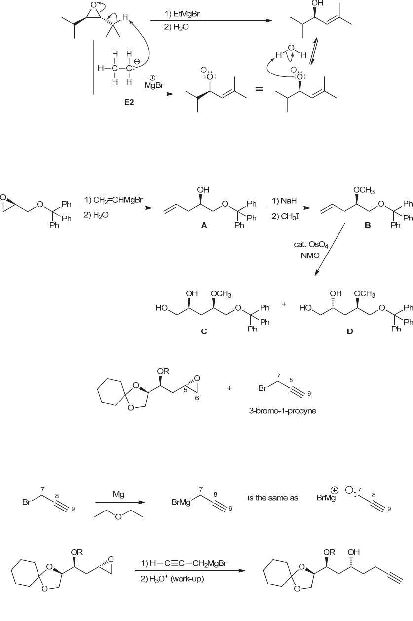
13.62. Since the Grignard reagent is both a strong base and a strong nucleophile, substitution and elimination can both 
occur. Indeed, they compete with each other. As we discussed in Chapter 7, elimination will be favored when the 
substrate is secondary. Both electrophilic positions in this epoxide are secondary, and so, elimination predominates: 
 
 
 
 
13.63. In the first step, vinylmagnesium bromide is a powerful nucleophile and can attack the epoxide in a ring-
opening reaction (attacking the less substituted carbon) to afford an alcohol. This alcohol is subsequently converted to 
an ether via a Williamson ether synthesis. Dihydroxylation of the terminal alkene with catalytic OsO4 in the presence 
of NMO gives a mixture of diastereomeric diols. 
 
 
 
13.64. A new carbon-carbon bond must be made between C6 and C7: 
 
 
 
Epoxides are electrophilic functional groups and are subject to attack by a nucleophile. In order for the OH group to be 
ultimately positioned at C5, the nucleophile must attack the less substituted side of the epoxide (C6), which requires 
basic conditions (rather than acidic conditions, which often favors attack at the more substituted carbon). 
The nucleophile for this reaction must be made from 3-bromo-1-propyne, which can be achieved by 
treatment with magnesium, thereby forming the Grignard reagent: 
 
 
 
The desired transformation can therefore be achieved in the following way: 
 
 
www.MyEbookNiche.eCrater.com

Mais conteúdos dessa disciplina