Logo Passei Direto
Buscar

Ferramentas de estudo

Material
páginas com resultados encontrados.
páginas com resultados encontrados.

Prévia do material em texto

914 CHAPTER 22 
 
22.3. 
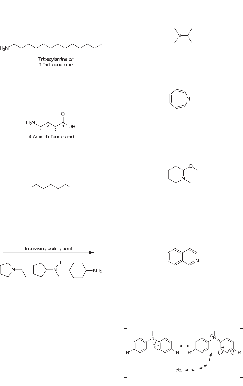
(a) This compound is an amine that has only one simple 
alkyl group (13 carbons is a tridecyl group) connected to 
the nitrogen atom, so we can name this compound as an 
alkyl amine or an alkanamine. Therefore, this compound 
can be named tridecylamine or 1-tridecanamine. 
 
 
 
(b) The parent is a four-carbon carboxylic acid 
(butanoic acid). The NH2 group is called an amino 
group. The carboxylic acid functionality has a higher 
suffix priority than amines, therefore, this compound is 
named 4-aminobutanoic acid. 
 
 
 
(c) This compound has two amine groups and is named 
as a diamine (similar to a compound with two hydroxyl 
groups being named as a diol). The amino groups are at 
positions 1 and 5 of a five-carbon chain so it is named 
pentane-1,5-diamine. 
 
H2N NH2
Pentane-1,5-diamine
53
42
1
 
 
22.4. The primary amine has two N-H bonds and is 
expected to exhibit the highest extent of hydrogen 
bonding, and therefore, the highest boiling point. The 
tertiary amine lacks N-H bonds, and is therefore 
expected to have the lowest boiling point. 
 
 
 
22.5. 
(a) This amine has more than five carbon atoms per 
amino group (there are eight carbon atoms and only one 
amino group). Therefore, this compound is not expected 
to be water soluble. 
(b) This amine has fewer than five carbon atoms per 
amino group (there are only three carbon atoms and one 
amino group). Therefore, this compound is expected to 
be water soluble. 
(c) This diamine has fewer than five carbon atoms per 
amino group (there are six carbon atoms and two amino 
groups). Therefore, this compound is expected to be 
water soluble. 
 
 
22.6. 
(a) The following compound is expected to be a stronger 
base because the lone pair is localized, and therefore 
more available to function as a base. 
 
 
 
The other compound exhibits a delocalized lone pair, and 
is therefore a weaker base. 
 
(b) The following compound is expected to be a 
stronger base because the lone pair is not participating in 
aromaticity. It is available to function as a base. 
 
 
 
In contrast, the other compound is aromatic, and the lone 
pair is delocalized (in order to establish aromaticity), so 
it is unavailable to function as base. 
 
(c) The following compound is expected to be a stronger 
base because the nitrogen atom has a lone pair that is 
localized, and therefore more available to function as a 
base. 
 
 
The other compound exhibits a nitrogen atom with a 
delocalized lone pair, and is therefore a weaker base. 
 
(d) The following compound is expected to be a 
stronger base because the lone pair is not participating in 
aromaticity. The lone pair occupies an sp2 hybridized 
orbital (directed away from the ring, in the plane of the 
ring) and is available to function as a base. 
 
 
 
In contrast, the other compound (shown in the problem 
statement) exhibits a nitrogen atom with a lone pair that 
is highly delocalized (in order to establish aromaticity in 
the five-membered ring), so it is unavailable to function 
as base. 
 
22.7. In all of these compounds, the lone pair (on the 
nitrogen atom) is delocalized throughout two aromatic 
rings: 
 
www.MyEbookNiche.eCrater.com

Mais conteúdos dessa disciplina