Logo Passei Direto
Buscar

Ferramentas de estudo

Material
páginas com resultados encontrados.
páginas com resultados encontrados.
left-side-bubbles-backgroundright-side-bubbles-background

Crie sua conta grátis para liberar esse material. 🤩

Já tem uma conta?

Ao continuar, você aceita os Termos de Uso e Política de Privacidade

Prévia do material em texto

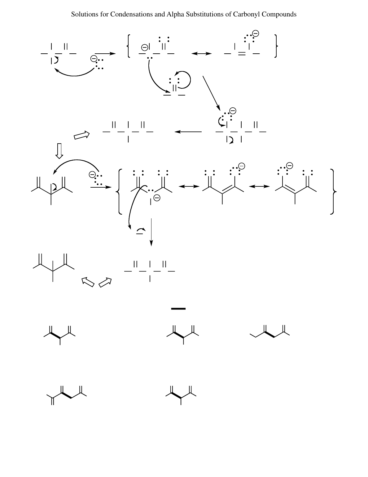
Solutions for Condensations and Alpha Substitutions of Carbonyl Compounds
OEt
OEt
C
H
H
C
O
OEtH C OEtC
H
H C
H
C
O
OEtH
C OEt
O
Ph
C
O
OEtC
H
H
C
O
Ph
OEtPh
O O
H
H
Ph C
O
C
EtO H
H
C OEt
O
H
C
OO
Ph OEt
H
H
OO
Ph OEt
H
OO
Ph OEt OEtPh
O O
H
Ph C
O
C
H
H
C OEt
O
41
– EtO–
O
plus two self-condensation products—a poor 
choice because both esters have α-hydrogens
+
(d)(c)
(b)(a)
42 New carbon-carbon bonds are shown in bold.
Ph OCH3
O O
Ph
Ph
OO
OCH3
OEt
O O
EtO
CH3
OO
OEtEtO
CH3 OCH3
O O
Ph
O
H A
SAME
SAME
566

Mais conteúdos dessa disciplina