Logo Passei Direto
Buscar

Função Descritiva para Ganho com Zona Morta

User badge image
Moraes

em

Ferramentas de estudo

Material
páginas com resultados encontrados.
páginas com resultados encontrados.

Prévia do material em texto

Problem 9.11 PP
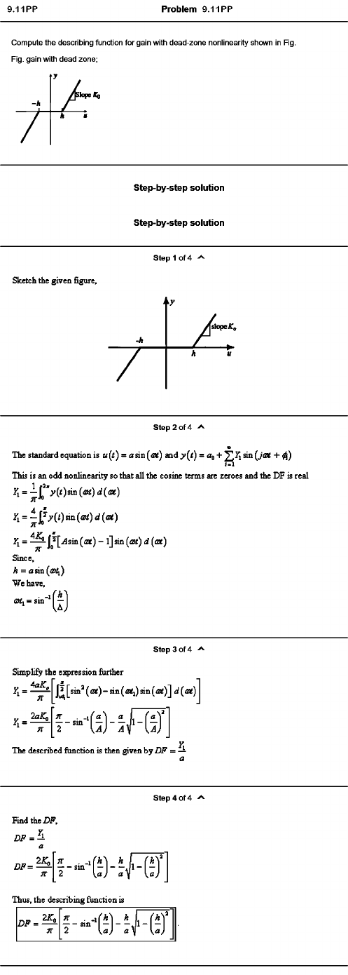
Compute the describing function for gain with dead-zone nonlinearity shown in Fig. 
Fig. gain with dead zone; 
f j
IkpeXb
-k
7
Step-by-step solution 
Step-by-step solution
Sketch the given figure.
Step 1 of 4
Step 2 of 4 ^
The standard equation is u ( t) - asin(ression further
?r
y
The described function is then given by DF = —
Step 4 of 4
Find the DF,
D F :
DF =
2K,
Thus, the describing function is
DF = 2K^

Mais conteúdos dessa disciplina