Logo Passei Direto
Buscar
Material
páginas com resultados encontrados.
páginas com resultados encontrados.

Prévia do material em texto

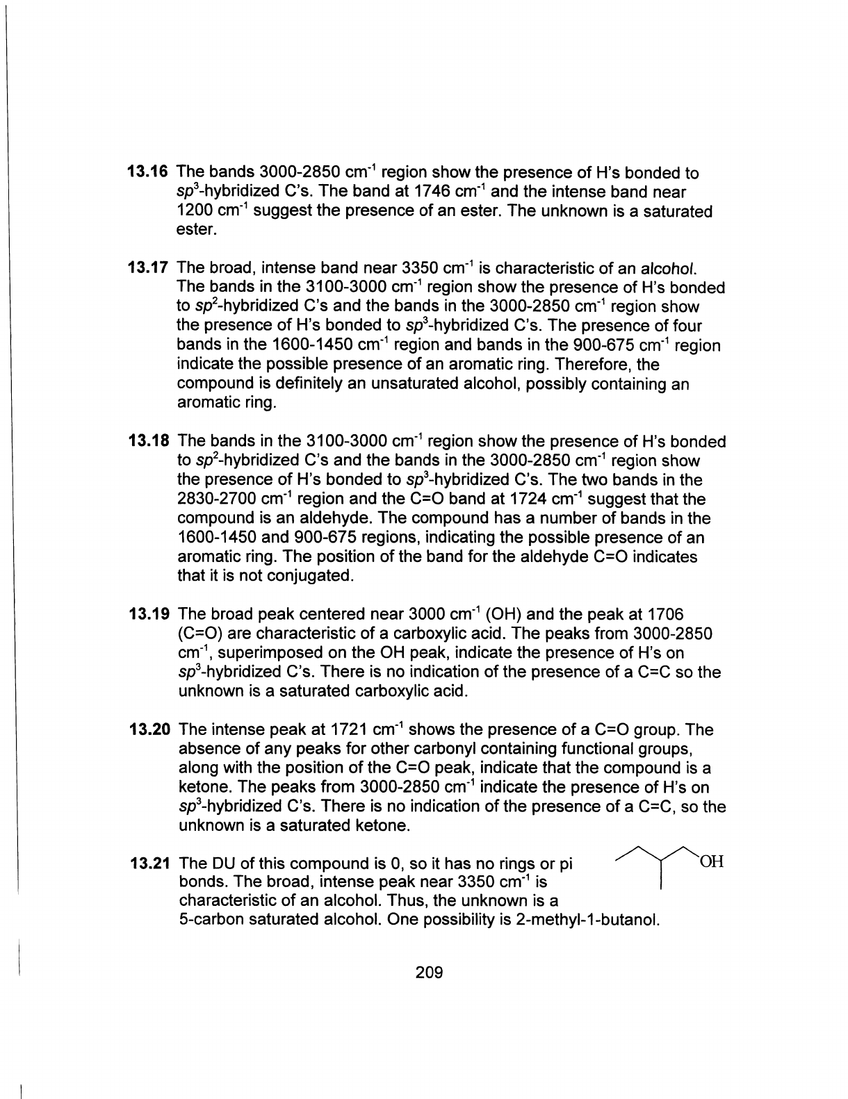
13.16 The bands 3000-2850 cm⁻¹ region show the presence of H's bonded to sp³-hybridized C's. The band at 1746 cm⁻¹ and the intense band near 1200 cm⁻¹ suggest the presence of an ester. The unknown is a saturated ester. 13.17 The broad, intense band near 3350 cm⁻¹ is characteristic of an alcohol. The bands in the 3100-3000 cm⁻¹ region show the presence of H's bonded to sp²-hybridized C's and the bands in the 3000-2850 cm⁻¹ region show the presence of H's bonded to sp³-hybridized C's. The presence of four bands in the 1600-1450 cm⁻¹ region and bands in the 900-675 cm⁻¹ region indicate the possible presence of an aromatic ring. Therefore, the compound is definitely an unsaturated alcohol, possibly containing an aromatic ring. 13.18 The bands in the 3100-3000 cm⁻¹ region show the presence of H's bonded to sp²-hybridized C's and the bands in the 3000-2850 cm⁻¹ region show the presence of H's bonded to sp³-hybridized C's. The two bands in the 2830-2700 cm⁻¹ region and the C=O band at 1724 cm⁻¹ suggest that the compound is an aldehyde. The compound has a number of bands in the 1600-1450 and 900-675 regions, indicating the possible presence of an aromatic ring. The position of the band for the aldehyde C=O indicates that it is not conjugated. 13.19 The broad peak centered near 3000 cm⁻¹ (OH) and the peak at 1706 (C=O) are characteristic of a carboxylic acid. The peaks from 3000-2850 cm⁻¹, superimposed on the OH peak, indicate the presence of H's on sp³-hybridized C's. There is no indication of the presence of a C=C so the unknown is a saturated carboxylic acid. 13.20 The intense peak at 1721 cm⁻¹ shows the presence of a C=O group. The absence of any peaks for other carbonyl containing functional groups, along with the position of the C=O peak, indicate that the compound is a ketone. The peaks from 3000-2850 cm⁻¹ indicate the presence of H's on sp³-hybridized C's. There is no indication of the presence of a C=C, so the unknown is a saturated ketone. 13.21 The DU of this compound is 0, so it has no rings or pi OH bonds. The broad, intense peak near 3350 cm⁻¹ is characteristic of an alcohol. Thus, the unknown is a 5-carbon saturated alcohol. One possibility is 2-methyl-1-butanol. 209

Mais conteúdos dessa disciplina