Logo Passei Direto
Buscar

Ferramentas de estudo

Material
páginas com resultados encontrados.
páginas com resultados encontrados.
left-side-bubbles-backgroundright-side-bubbles-background

Crie sua conta grátis para liberar esse material. 🤩

Já tem uma conta?

Ao continuar, você aceita os Termos de Uso e Política de Privacidade

Prévia do material em texto

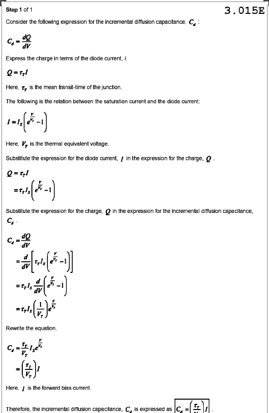
Step 1 of 1 3.015E Consider the following expression for the incremental diffusion capacitance, Express the charge in terms of the diode current, I. Here, is the mean transit-time of the junction. The following is the relation between the saturation current and the diode current: Here, is the thermal equivalent voltage. Substitute the expression for the diode current, I in the expression for the charge, . Substitute the expression for the charge, in the expression for the incremental diffusion capacitance, Rewrite the equation. Here, I is the forward bias current. Therefore, the incremental diffusion capacitance, is expressed as

Mais conteúdos dessa disciplina