Logo Passei Direto
Buscar
Material
páginas com resultados encontrados.
páginas com resultados encontrados.

Prévia do material em texto

Problem 3.14PP
A simplified sketch of a computer tape drive is given in Fig.
(a) Write the equations of motion in terms of the parameters listed below. K and B represent the 
spring constant and the damping of tape stretch, respectively, and o)1 and oj2 are angular 
velocities. A positive current applied to the DC motor will provide a torque on the capstan in the 
clockwise direction as shown by the arrow. Find the value of current that just cancels the force, F, 
then eliminate the constant current and its balancing force, F. from your equations. Assume 
positive angular velocities of the two wheels are in the directions shown by the arrows.
J1 = 5 X 10-5 kg m2, motor and capstan inertia,
S I = 1 X 10-2 N m sec, motor damping, 
n = 2 X 10-2 m,
/C/ = 3 X 10-2 N • m/A, motor-torque constant,
/C/ = 3 X 10-2 N • m/A, motor-torque constant,
/C= 2x10 4 N/m,
S = 20 N/m sec, 
r2 = 2 x 1 0 -2 m,
J2 = 2 x 1 0 -5 kg m2,
82 = 2 X 10-2 N m sec, viscous damping, idler,
F = 6 N, constant force,
i i = tape velocity m/sec {variable to be controlled).
(b) Find the transfer function from motor current to the tape position.
(c) Find the poles and zeros of the transfer function in part (b).
(d) Use Matlab to find the response of x1 to a step in ia. 
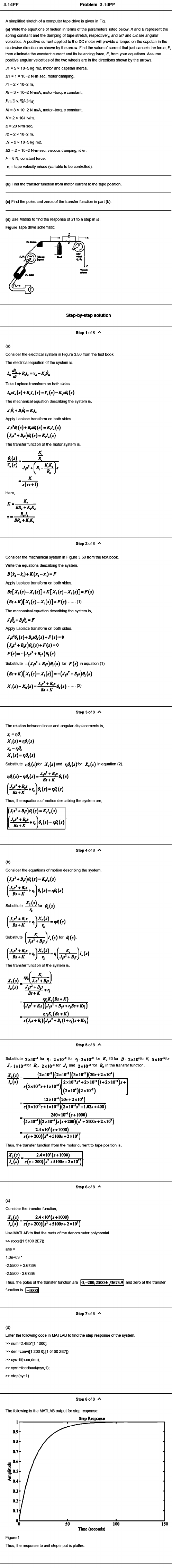
Figure Tape drive schematic
Step-by-step solution
step 1 of 8
(a)
Consider the electrical system in Figure 3.50 from the text book. 
The electrical equation of the system is.
Take Laplace transform on both sides.
L .sI.{s)*R .I.(s) = V .{s)-K ^0 ,{s)
The mechanical equation describing the system is,
= A y ,
Apply Laplace transform on both sides.
The transfer function of the motor system is,
V (s ) , I JC.JC.'l
v + i
K
Here,
K m
j ( r j + l )
K,
B R ,^ K ,K ,
BR, + K,K,
Step 2 of 8
Consider the mechanical system in Figure 3.50 from the text book. 
Write the equations describing the system.
Apply Laplace transform on both sides.
Bs [ x ^ ( ! ) - x , ( j ) ] + ic [ j r , ( j ) - . s r , ( * ) ] = f (s)
(5s+A:)[jr,(i)-Ar,(j)]=F(s) (i)
The mechanical equation describing the system is,
— F
Apply Laplace transform on both sides.
( j ) + B^s^ (s) + F ( j ) = 0 
+ B ^ ) $ j{ s ) + F { s ) ^ 0 
F{s) = - ( J ^ '+ B ^ )e ,{ s )
Substitute + Bjsj02{^) F {s) in equation (1).
/ »• . IF /_ \ IF / - \T _ f r Ji , B *\/» / * \
step 3 of 8
ation between linear and angular displacements is,
9,
“ 'A U )
= r,02(s)
te »;^,(i)fo r AT,(i)ancl r,^^(^)for J f , ( j ) in equation (2).
i equations of motion describing the system i
Step 4 of 8
(b)
Consider the equations of motion describing the system.
( jy * B , s ) 0 , ( s ) = K J .(s )
Substitute ' “ ^ '‘"■ f̂or A ( ^ ) .
r,
S‘̂ »stitute ^ _ ^ _ j / . ( , ) f o r
The transfer function of the system is.
I ,(s ) V - t - g ^
Bs + K ’
r,r2 K ,(B s*K )
{jfS^ + + BjS+r^Bs +
r,r^K,{Bs + K)
s{J iS + ( 1 + + Xtj)
step 5 of 8
Substitute 2x10"* 2x10"* 3x10"* K,.2QtoT B . 2 x l 0^f°'’ /C, 5 x l0 "* f° ''
•^1’ IxlO"^^®*^ 2x10'^^°'^ / j and 2x10"*^°'^ inthetransferfunction.
X ,( s ) _________(2 x l0 -^ ) (2 x l0 -» ) (3 x l0 -» ) (2 0 ^ + 2 x l0 * )
/ . ( » )
i (5 x lO " ’i + lx lO '’ )
2 x l 0-’j " + 2 x l 0- ' ( l + 2 x l 0-’ ) i + 
( 2 x l 0* )(2 x l 0-*)
12 x l 0' ‘ (2a s + 2 x l 0‘ )
i ( 5 x l 0 ’j + l x l0 - ’ ) ( 2 x l 0 - V + 1 .0 2 i+ 4 0 0 ) 
2 4 0 x l0 -» (n -1 0 0 0 )
■ (5 x l0 - ’ ) ( 2 x l0 - ‘ ) i ( s + 2 0 0 ) ( j '+ 5 1 0 0 s + 2 x l 0 ’ ) 
2 .4 x l t f ( n - 1 0 0 0 )
i ( i + 2 0 0 ) ( i’ + 5 1 0 0 s + 2 x l0 ’ )
Thus, the transfer function from the motor current to tape position is.
2 f , ( i ) 2 . 4 x i y ( j + l000)
/ , ( s ) ” * ( i + 2 0 0 ) ( l’ + 5 1 0 0 s + 2 x l 0 ’ )
Step 6 of 8
(c)
Consider the transfer function,
X ,(s ) 2 . 4 x l t f ( i + 1000)
/ , ( j ) " j ( j + 2 0 0 ) ( j ' + 5100s + 2 x l 0 ’ )
Use MATLAB to find the roots of the denominator polynomial.
»roots([1 5100 2E7]) 
ans =
1 .Oe+03 *
-2.5500 + 3.6739i 
-2.5500 - 3.6739i
Thus, the poles of the transfer function are |0 ,-2 0 0 ,2 5 0 0 ± y3673.9| and zero of the transfer 
function is |»1Q00|.
Step 7 of 8
(d)
Enter the following code in MATLAB to find the step response of the system. 
» num=2.4E5*[1 1000];
» den=conv([1 200 0],[1 5100 2E7]);
» sys=tf(num,den):
» sys1=feedback(sys,1):
» step(sysl)
Step 8 of 8 ^
The following is the MATLAB output for step response:
Figure 1
Thus, the response to unit step input is plotted.

Mais conteúdos dessa disciplina