Logo Passei Direto
Buscar
Material
páginas com resultados encontrados.
páginas com resultados encontrados.
left-side-bubbles-backgroundright-side-bubbles-background

Crie sua conta grátis para liberar esse material. 🤩

Já tem uma conta?

Ao continuar, você aceita os Termos de Uso e Política de Privacidade

Prévia do material em texto

Eng. Elétrica: RUBEN REYES - Matricula: 137866 
 Tutor: ARTHUR TORRES – Eng. Elétrica – 2023-1 
 
 ATIVIDADE METODOS QUANTATIVOS MATEMATICOS 
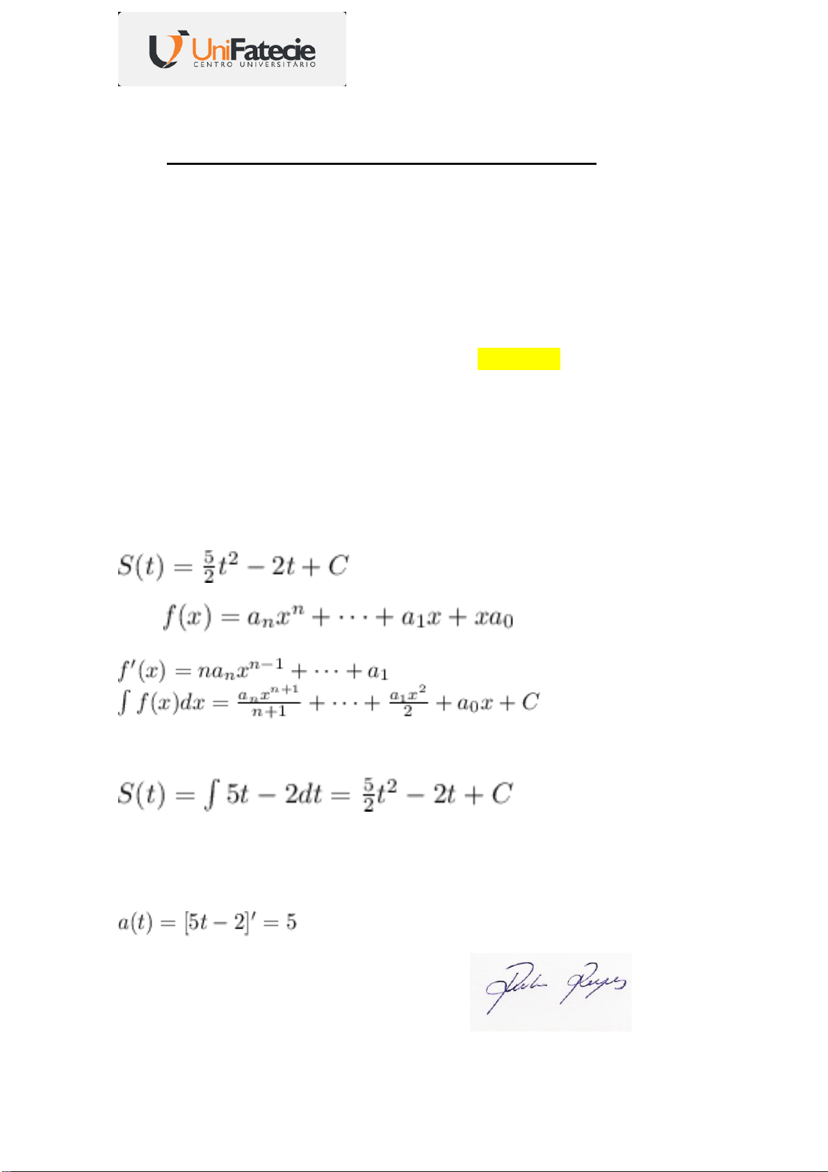
Na física mecânica um dos assuntos abordados em cinemática é a equação horária 
das posições e da velocidade de um dado móvel. Instantaneamente, a velocidade é 
obtida derivando a expressão das posições, bem como a aceleração provém da 
derivada da função da velocidade. O oposto também é válido, uma vez que o 
caminho contrário a derivada é a integral de uma função. Assim, integrando a 
aceleração, encontramos a velocidade e integrando a velocidade, achamos a 
posição. 
Portanto, suponha a função horária da velocidade: V(t)=5t−2 
a) Determine a expressão da função horária das posições. 
b) Encontre a aceleração instantânea. 
A função horária das posições é aceleração instantânea é constante igual a 5 
RESP: 
5t - 2dt 
I = 5t² / 2 - 2t 
Derivada e integral de uma função polinomial 
 
Dada f(x) uma função polinômial, ou seja, uma função real que pode ser expressa na 
forma , temos que a derivada e 
a integral dessa função existem e podem ser calculadas utilizando as fórmulas: 
 
Como a função horária das posições é a integral da função horária da 
velocidade, a qual é uma função polinomial, temos que: 
 
Onde C é a posição quando t = 0. 
Para encontrar a aceleração instantânea, devemos derivar a função horária da 
velocidade, ou seja, utilizando a fórmula da derivada de uma função polinomial, 
temos que: 
 
 
 RUBEN REYES – ENG. ELETRICA – 2023/1

Mais conteúdos dessa disciplina