Logo Passei Direto
Buscar
Material
páginas com resultados encontrados.
páginas com resultados encontrados.

Prévia do material em texto

CHAPTER 6 169 
 
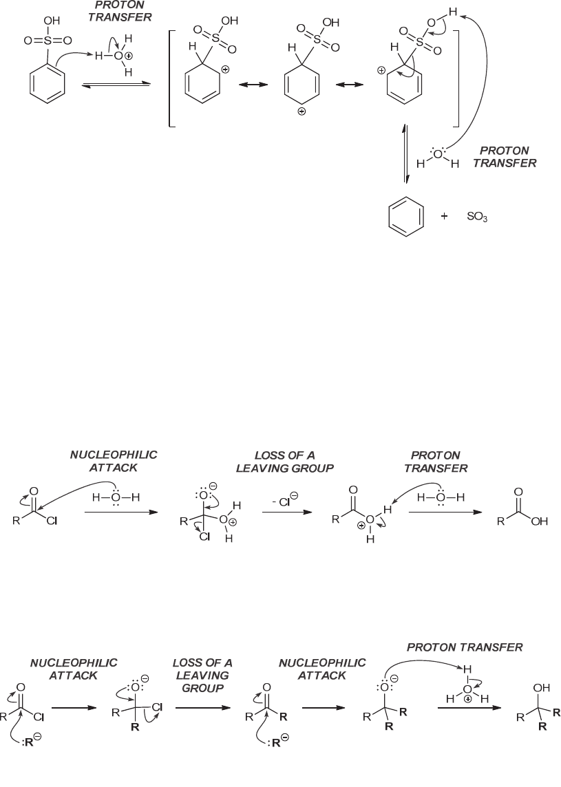
6.32. The sequence of arrow-pushing patterns is as follows: 
 
 
 
 
 
 
 
6.33. Both reactions have the same sequence: (i) nucleophilic attack, followed by (ii) loss of a leaving group. In both 
cases, a hydroxide ion functions as a nucleophile and attacks a compound that can accept the negative charge and store 
it temporarily. The charge is then expelled as a chloride ion in both cases. 
 
 
 
 
6.34. The sequence of arrow-pushing patterns is as follows: 
 
 
 
 
 
 
 
 
6.35. The sequence of arrow-pushing patterns is as follows: 
 
 
 
 
 
 
 
 
 
www.MyEbookNiche.eCrater.com

Mais conteúdos dessa disciplina