Logo Passei Direto
Buscar
Material
páginas com resultados encontrados.
páginas com resultados encontrados.

Prévia do material em texto

CHAPTER 7 217
 
(b) The same argument, as seen in the solution to part (a) of this problem, can be applied again in this case. That is, 
there are still two  protons that can be abstracted in a  elimination, so both products are still possible, as shown 
below. 
 
 
 
 
 
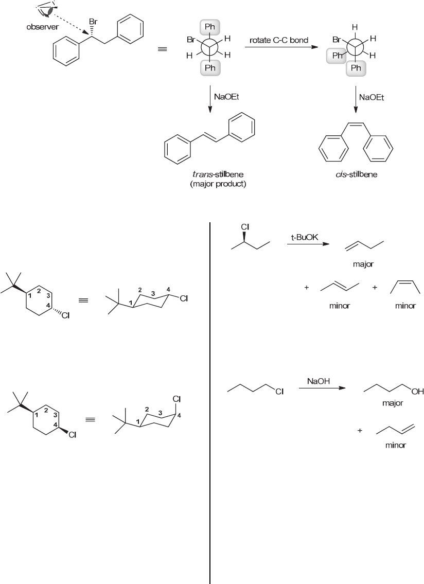
7.75. Because of the bulky tert-butyl group, the trans 
isomer is essentially locked in a chair conformation in 
which the chlorine substituent occupies an equatorial 
position. 
 
 
 
This conformation cannot readily undergo an E2 reaction 
because the leaving group is not antiperiplanar to a 
proton. However, the cis isomer is locked in a chair 
conformation in which the chlorine occupies an axial 
position: 
 
 
 
This conformation rapidly undergoes an E2 reaction. 
 
 
7.76. 
(a) The reagent is tert-butoxide, which is a strong, 
sterically hindered base. The substrate is secondary so 
we expect E2 processes to predominate (SN2 is highly 
disfavored because of steric interactions). The major 
product is the less-substituted alkene. The more-
substituted alkene can be formed as either of two 
stereoisomers (cis and trans), giving the following three 
products: 
 
 
 
(b) The reagent is hydroxide, which is both a strong 
base and a strong nucleophile. The substrate is primary, 
so we expect both E2 and SN2 processes, although SN2 
will be responsible for the major product, as shown here. 
 
 
 
(c) The reagent is ethoxide, which is both a strong base 
and a strong nucleophile. The substrate is secondary so 
we expect both E2 and SN2 processes, although E2 will 
be responsible for the major product. Accordingly, the 
major product is the more substituted alkene, with the 
trans configuration (because the reaction is 
stereoselective, favoring the trans isomer over the cis 
isomer). The minor products include the cis isomer, as 
well as the less-substituted alkene and the SN2 product 
(which is formed via inversion of configuration): 
 
www.MyEbookNiche.eCrater.com

Mais conteúdos dessa disciplina