Prévia do material em texto
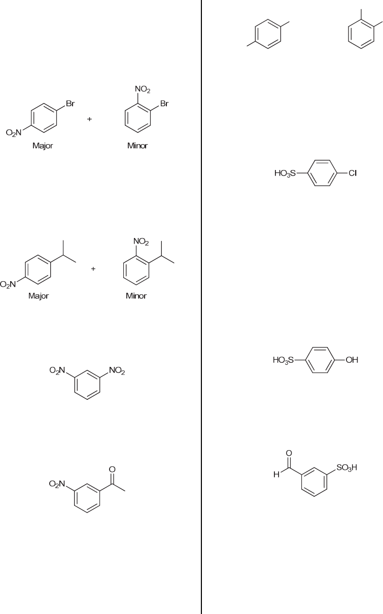
CHAPTER 18 665 18.41. (a) The reagents indicate a nitration reaction, so we must decide where the nitro group will be installed. The aromatic ring has one substituent (Br) which is an ortho- para director, so we expect nitration to occur at the ortho and para positions. Because of the size of the bromine atom, the para product is expected to predominate (a steric effect). (b) The reagents indicate a nitration reaction, so we must decide where the nitro group will be installed. The aromatic ring has one substituent (an isopropyl group) which is an ortho-para director, so we expect nitration to occur at the ortho and para positions. Because of the size of the isopropyl group, the para product is expected to predominate (a steric effect). (c) The reagents indicate a nitration reaction, so we must decide where the nitro group will be installed. The aromatic ring has one substituent (a nitro group) which is a meta director, so we expect nitration to occur at the meta position. (d) The reagents indicate a nitration reaction, so we must decide where the nitro group will be installed. The aromatic ring has one substituent (a carbonyl group) which is a meta director, so we expect nitration to occur at the meta position. (e) The reagents indicate a nitration reaction, so we must decide where the nitro group will be installed. The aromatic ring has one substituent (a methoxy group) which is an ortho-para director, so we expect nitration to occur at the ortho and para positions. The para product is likely to predominate (because of a steric effect). OMe O2N OMe NO2 + Major Minor 18.42. (a) These reaction conditions indicate a sulfonation reaction, so we must decide where the sulfonic acid group will be installed. The aromatic ring has one substituent (Cl) which is an ortho-para director, so we expect sulfonation to occur at the ortho and para positions. For steric considerations, the para product (shown here) is likely to predominate over the ortho product. (b) These reaction conditions indicate a sulfonation reaction, so we must decide where the sulfonic acid group will be installed. The aromatic ring has one substituent (OH) which is an ortho-para director, so we expect sulfonation to occur at the ortho and para positions. For steric considerations, perhaps the para product (shown here) predominates over the ortho product, although it is a close call in this case. The OH group is similar in steric bulk to a methyl group, and we know that a methyl group provides little steric bulk (for example, sulfonation of toluene is expected to produce a mixture of ortho and para products, and the major product is difficult to predict). (c) These reaction conditions indicate a sulfonation reaction, so we must decide where the sulfonic acid group will be installed. The aromatic ring has one substituent (a carbonyl group) which is a meta director, so we expect sulfonation to occur at the meta position. (d) These reaction conditions indicate a sulfonation reaction, so we must decide where the sulfonic acid group will be installed. The aromatic ring has two substituents (OH and NO2). The directing effects are controlled by the more highly activating group, which is the OH group. As an activator, this group is an ortho- para director, so we expect sulfonation to occur at the ortho and para positions. For steric considerations, the para product (shown here) is likely to predominate over the ortho product. www.MyEbookNiche.eCrater.com