Logo Passei Direto
Buscar
Material
páginas com resultados encontrados.
páginas com resultados encontrados.

Prévia do material em texto

CHAPTER 17 605 
 
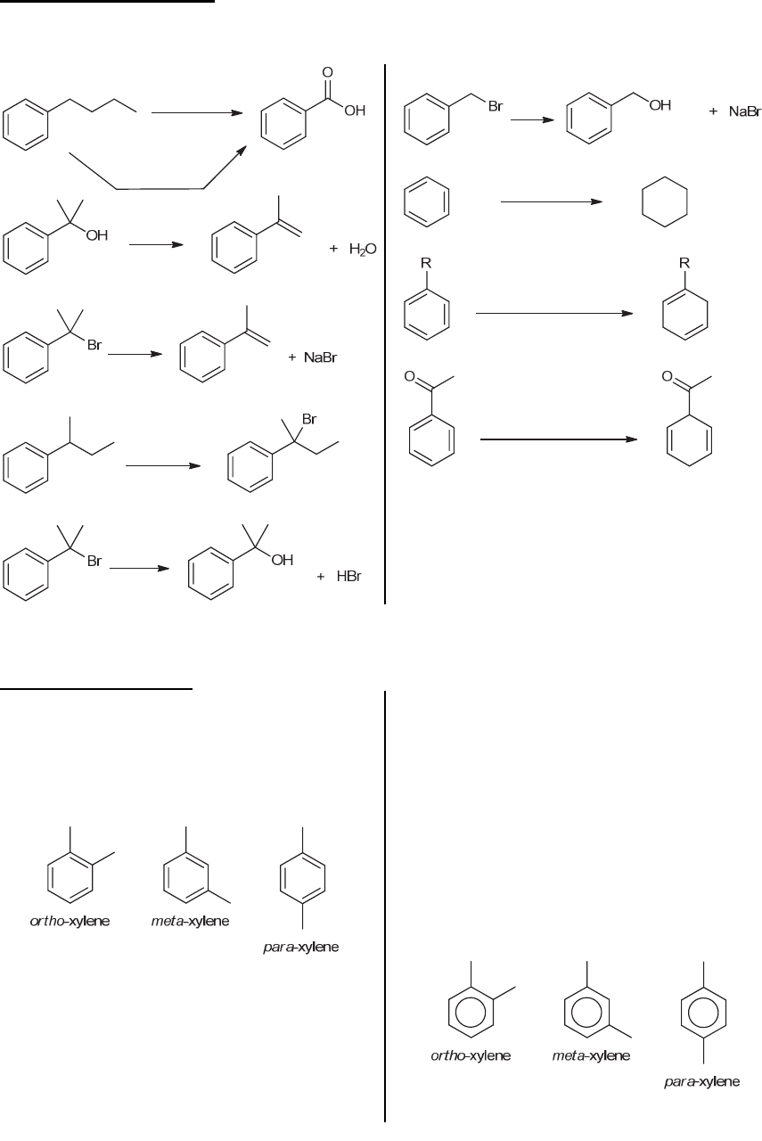
Review of Reactions 
Identify the reagents necessary to achieve each of the following transformations. To verify that your 
answers are correct, look in your textbook at the end of Chapter 17. The answers appear in the section 
entitled Review of Reactions. 
 
 
 
 
 
 
 
 
 
 
 
 
 
 
 
 
 
 
Mistakes to Avoid 
When analyzing an NMR spectrum (1H or 13C), we 
must always consider the role of symmetry in 
affecting the number of signals in the spectrum. 
For example, consider the number of signals in the 
1H NMR spectrum of each of the following 
constitutional isomers: 
 
 
 
Each of these compounds exhibits a different 
number of signals in its 1H NMR spectrum (3 
signals, 4 signals, and 2 signals, respectively). 
Similarly, each of these compounds exhibits a 
different number of signals in its 13C NMR 
spectrum (4 signals, 5 signals, and 3 signals, 
respectively). 
When analyzing an NMR spectrum of an aromatic 
compound, always make sure that the substitution 
pattern (i.e. monosubstituted, ortho-disubstituted, 
etc.) is fully consistent with all signals in the 
spectrum (taking symmetry into account). When 
doing so, avoid being distracted by the positions of 
the double bonds. After all, the  electrons are 
delocalized, and there are resonance structures in 
which the double bonds are drawn in different 
locations. The best way to avoid being distracted 
is to draw a circle to represent the aromatic ring, 
like this: 
 
 
 
www.MyEbookNiche.eCrater.com

Mais conteúdos dessa disciplina