Logo Passei Direto
Buscar

Ferramentas de estudo

Material
páginas com resultados encontrados.
páginas com resultados encontrados.

Prévia do material em texto

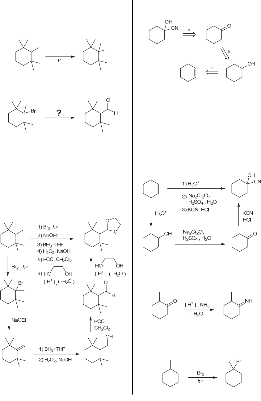
CHAPTER 19 751 
 
 
So we will need to make this aldehyde from the starting 
material. But the starting material lacks a functional 
group, so the first step of our synthesis must be a radical 
bromination process in order to install a functional 
group: 
Br2
Br
h
 
 
With the functional group installed, we must now bridge 
the gap between the first and last steps of the synthesis: 
 
 
 
This transformation does not involve a change in the 
carbon skeleton, but it does involve a change in both the 
location and the identity of the functional group. This 
can be achieved in just a few steps: 
1) elimination to give an alkene (upon treatment with 
a strong base), 
2) hydroboration-oxidation to convert the alkene into a 
primary alcohol via anti-Markovnikov addition of H 
and OH, and 
3) oxidation of the primary alcohol to an aldehyde 
(with PCC or DMP or Swern). 
The entire synthesis is summarized here: 
 
 
 
(d) There are certainly many acceptable solutions to this 
problem. One such solution derives from the following 
retrosynthetic analysis. An explanation of each of the 
steps (a-c) follows. 
 
 
 
a. The product is a cyanohydrin, which can be made 
from the corresponding ketone. 
b. The ketone can be made via oxidation of the 
corresponding secondary alcohol. 
c. The alcohol can be made from the starting alkene 
via acid-catalyzed hydration. 
 
Now let’s draw the forward scheme. The starting alkene 
is converted to an alcohol upon treatment with aqueous 
acid. Oxidation of the alcohol with chromic acid gives a 
ketone, which can then be converted into the desired 
cyanohydrin upon treatment with KCN and HCl: 
 
 
 
 
 
(e) The desired product is an imine, which can be made 
from the corresponding ketone: 
 
 
 
So we will need to make this ketone from the starting 
material. But the starting material lacks a functional 
group, so the first step of our synthesis must be a radical 
bromination process in order to install a functional 
group: 
 
 
www.MyEbookNiche.eCrater.com

Mais conteúdos dessa disciplina