Logo Passei Direto
Buscar

Exercícios Antivirais 2016

User badge image
Ana Carolina

em

Ferramentas de estudo

Questões resolvidas

Com base na representação das ligações de hidrogênio entre o ácido siálico e os aminoácidos do sítio ativo da neuraminidase, bem como na estrutura do intermediário reacional gerado durante a hidrólise do ácido siálico responda:
Qual a principal (apenas uma) modificação estrutural adotada na estrutura do 4-Epi-amino-Neu5Ac2en que permitiu o desenvolvimento do oseltamivir?

Com base na representação das ligações de hidrogênio entre o ácido siálico e os aminoácidos do sítio ativo da neuraminidase, bem como na estrutura do intermediário reacional gerado durante a hidrólise do ácido siálico responda:
Comparando o inibidor e o substrato, oseltamivir pode ser considerado um antagonista, pró-fármaco, substrato suicida e/ou inibidor do estado de transição?

Baseado na estrutura do aciclovir responda:
O aciclovir mimetiza algum substrato natural utilizado pelo vírus? Se sim, quais as principais diferenças estruturais entre ele e o aciclovir? Como estas diferenças estruturais influenciariam no mecanismo de ação do fármaco?

Baseado na estrutura do aciclovir responda:
Quais as duas principais enzimas relacionadas com a ação antiviral do aciclovir? Por que o aciclovir é menos tóxico para a célula do hospedeiro do que para o vírus do herpes? O aciclovir pode ser considerado um pró-fármaco; por quê?

Associe os seguintes fármacos às correspondentes etapas/enzimas requeridas para sua liberação/ativação.
Penciclovir, Valaciclovir, Desciclovir, Cidofovir.
a) Esterases
b) Quinases virais (primeira fosforilação)
c) Quinases celulares (segunda e terceira fosforilação)
d) Xantina oxidase

Qual das seguintes afirmacoes é verdadeira para inibidores não nucleosídicos da transcriptase reversa (NNTRIs), como a nevirapina e a delavirdina?
Qual das seguintes afirmações é verdadeira para inibidores não nucleosídicos da transcriptase reversa (NNTRIs), como a nevirapina e a delavirdina?
a) Não podem ser usados em associação com inibidores nucleosídeos da transcriptase reversa.
b) Ligam-se ao sítio ativo da enzima.
c) Resistência pode ser desenvolvida por uma mutação no sítio alostérico em que uma lisina é substituída por asparagina.
d) As interações entre NNTRIs e a cadeia peptídica da enzima no sítio de ligação não são importantes.

Qual afirmação abaixo explica melhor o motivo desta escolha? Justifique porque cada uma das demais alternativas não se aplicam.
O dipeptídeo L-fenilalanina-L-prolina foi escolhido como protótipo para o desenvolvimento do fármaco saquinavir.
a) O dipeptídeo é estável a hidrólise pela protease de HIV e um análogo poderia atuar preponderantemente como inibidor e não substrato.
b) Os resíduos dos dois aminoácidos encaixam-se nos subsítios do sítio ativo e análogos poderiam ser facilmente reconhecidos pelos resíduos do sítio ativo e ligar fortemente.
c) A protease de HIV catalisa a hidrólise do dipeptídeo, enquanto que proteases dos mamíferos não possuem esta propriedade, o que permite explorar um alvo seletivo.
d) O dipeptídeo é facilmente sintetizado comparado a outros dipeptídeos e análogos poderiam ser facilmente obtidos.

Com relação ao planejamento e desenvolvimento do fármaco ritonavir abaixo, responda:
A estrutura abaixo de A77003 (abaixo) foi um dos compostos iniciais sintetizados durante o desenvolvimento de ritonavir, o qual contém um grupo diol no interior de sua cadeia principal. Uma destas hidroxilas foi posteriormente removida. Qual a afirmação correta para esta modificação?
a) O grupo removido não realizava interação por ligação de hidrogênio no sítio ativo.
b) O grupo hidroxílico removido atuava como um bloqueador stereo e impedia que a molécula interagisse corretamente.
c) A remoção de uma hidroxila reduziu o gasto energética associada a dessolvatação necessária para a ligação.
d) O grupo removido participa de interação por ligação de hidrogênio, a qual conduzia a uma ligação em uma forma inativa.

Ainda em relação à estrutura A77003, qual afirmação abaixo é correta para esclarecer a razão da substituição dos anéis de piridina por tiazol?
Ainda em relação à estrutura A77003, qual afirmação abaixo é correta para esclarecer a razão da substituição dos anéis de piridina por tiazol?
a) Os anéis de piridina eram susceptíveis a oxidação metabólica.
b) Os anéis tiazólicos são menores e diminuem o peso molecular.
c) Os átomos de nitrogênio dos anéis de piridina poderiam ser protonados e tornar o fármaco muito polar.
d) Os anéis tiazólicos interagem melhor que os de piridina no sítio de ligação da protease.

Material
páginas com resultados encontrados.
páginas com resultados encontrados.
left-side-bubbles-backgroundright-side-bubbles-background

Crie sua conta grátis para liberar esse material. 🤩

Já tem uma conta?

Ao continuar, você aceita os Termos de Uso e Política de Privacidade

left-side-bubbles-backgroundright-side-bubbles-background

Crie sua conta grátis para liberar esse material. 🤩

Já tem uma conta?

Ao continuar, você aceita os Termos de Uso e Política de Privacidade

left-side-bubbles-backgroundright-side-bubbles-background

Crie sua conta grátis para liberar esse material. 🤩

Já tem uma conta?

Ao continuar, você aceita os Termos de Uso e Política de Privacidade

left-side-bubbles-backgroundright-side-bubbles-background

Crie sua conta grátis para liberar esse material. 🤩

Já tem uma conta?

Ao continuar, você aceita os Termos de Uso e Política de Privacidade

Questões resolvidas

Com base na representação das ligações de hidrogênio entre o ácido siálico e os aminoácidos do sítio ativo da neuraminidase, bem como na estrutura do intermediário reacional gerado durante a hidrólise do ácido siálico responda:
Qual a principal (apenas uma) modificação estrutural adotada na estrutura do 4-Epi-amino-Neu5Ac2en que permitiu o desenvolvimento do oseltamivir?

Com base na representação das ligações de hidrogênio entre o ácido siálico e os aminoácidos do sítio ativo da neuraminidase, bem como na estrutura do intermediário reacional gerado durante a hidrólise do ácido siálico responda:
Comparando o inibidor e o substrato, oseltamivir pode ser considerado um antagonista, pró-fármaco, substrato suicida e/ou inibidor do estado de transição?

Baseado na estrutura do aciclovir responda:
O aciclovir mimetiza algum substrato natural utilizado pelo vírus? Se sim, quais as principais diferenças estruturais entre ele e o aciclovir? Como estas diferenças estruturais influenciariam no mecanismo de ação do fármaco?

Baseado na estrutura do aciclovir responda:
Quais as duas principais enzimas relacionadas com a ação antiviral do aciclovir? Por que o aciclovir é menos tóxico para a célula do hospedeiro do que para o vírus do herpes? O aciclovir pode ser considerado um pró-fármaco; por quê?

Associe os seguintes fármacos às correspondentes etapas/enzimas requeridas para sua liberação/ativação.
Penciclovir, Valaciclovir, Desciclovir, Cidofovir.
a) Esterases
b) Quinases virais (primeira fosforilação)
c) Quinases celulares (segunda e terceira fosforilação)
d) Xantina oxidase

Qual das seguintes afirmacoes é verdadeira para inibidores não nucleosídicos da transcriptase reversa (NNTRIs), como a nevirapina e a delavirdina?
Qual das seguintes afirmações é verdadeira para inibidores não nucleosídicos da transcriptase reversa (NNTRIs), como a nevirapina e a delavirdina?
a) Não podem ser usados em associação com inibidores nucleosídeos da transcriptase reversa.
b) Ligam-se ao sítio ativo da enzima.
c) Resistência pode ser desenvolvida por uma mutação no sítio alostérico em que uma lisina é substituída por asparagina.
d) As interações entre NNTRIs e a cadeia peptídica da enzima no sítio de ligação não são importantes.

Qual afirmação abaixo explica melhor o motivo desta escolha? Justifique porque cada uma das demais alternativas não se aplicam.
O dipeptídeo L-fenilalanina-L-prolina foi escolhido como protótipo para o desenvolvimento do fármaco saquinavir.
a) O dipeptídeo é estável a hidrólise pela protease de HIV e um análogo poderia atuar preponderantemente como inibidor e não substrato.
b) Os resíduos dos dois aminoácidos encaixam-se nos subsítios do sítio ativo e análogos poderiam ser facilmente reconhecidos pelos resíduos do sítio ativo e ligar fortemente.
c) A protease de HIV catalisa a hidrólise do dipeptídeo, enquanto que proteases dos mamíferos não possuem esta propriedade, o que permite explorar um alvo seletivo.
d) O dipeptídeo é facilmente sintetizado comparado a outros dipeptídeos e análogos poderiam ser facilmente obtidos.

Com relação ao planejamento e desenvolvimento do fármaco ritonavir abaixo, responda:
A estrutura abaixo de A77003 (abaixo) foi um dos compostos iniciais sintetizados durante o desenvolvimento de ritonavir, o qual contém um grupo diol no interior de sua cadeia principal. Uma destas hidroxilas foi posteriormente removida. Qual a afirmação correta para esta modificação?
a) O grupo removido não realizava interação por ligação de hidrogênio no sítio ativo.
b) O grupo hidroxílico removido atuava como um bloqueador stereo e impedia que a molécula interagisse corretamente.
c) A remoção de uma hidroxila reduziu o gasto energética associada a dessolvatação necessária para a ligação.
d) O grupo removido participa de interação por ligação de hidrogênio, a qual conduzia a uma ligação em uma forma inativa.

Ainda em relação à estrutura A77003, qual afirmação abaixo é correta para esclarecer a razão da substituição dos anéis de piridina por tiazol?
Ainda em relação à estrutura A77003, qual afirmação abaixo é correta para esclarecer a razão da substituição dos anéis de piridina por tiazol?
a) Os anéis de piridina eram susceptíveis a oxidação metabólica.
b) Os anéis tiazólicos são menores e diminuem o peso molecular.
c) Os átomos de nitrogênio dos anéis de piridina poderiam ser protonados e tornar o fármaco muito polar.
d) Os anéis tiazólicos interagem melhor que os de piridina no sítio de ligação da protease.

Prévia do material em texto

Química Farmacêutica II – Noturno 2016 
Profa. Dra. Ivone Carvalho 
Exercícios: Agentes Antivirais 
 
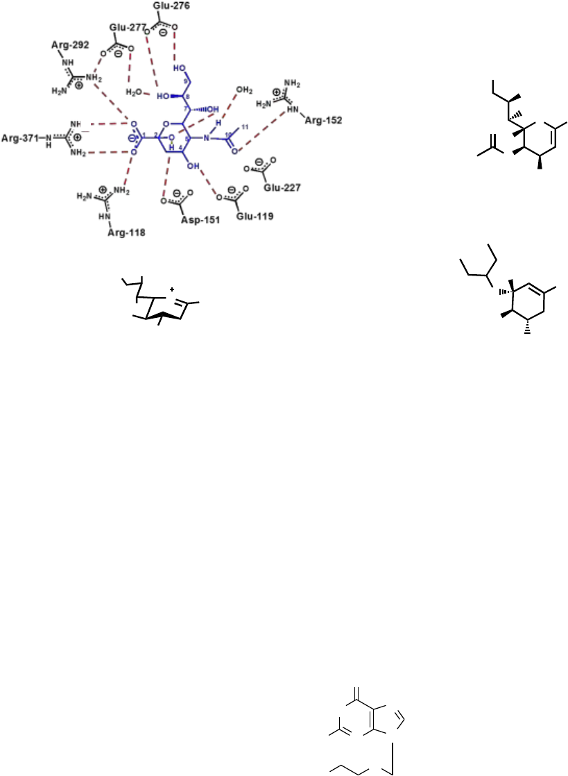
1) Com base na representação das ligações de hidrogênio entre o ácido siálico e os aminoácidos do 
sítio ativo da neuraminidase, bem como na estrutura do intermediário reacional gerado durante a 
hidrólise do ácido siálico responda: 
 
 
 
 
 
 
4-epi-amino-Neu5Ac-2en 
 
 
 
 
Intermediário reacional 
 
Oseltamivir 
 
a) Qual grupo de ácido siálico realiza a interação mais forte com a enzima? 
b) Qual a principal (apenas uma) modificação estrutural adotada na estrutura do 4-Epi-amino-
Neu5Ac2en que permitiu o desenvolvimento do oseltamivir? 
c) Comparando o inibidor e o substrato, oseltamivir pode ser considerado um antagonista, pró-fármaco, 
substrato suicida e/ou inibidor do estado de transição? 
d) Descreva em detalhes porque esta modificação foi possível e quais vantagens ela trouxe para uma 
melhor interação do oseltamivir com a enzima neuraminidase. 
 
2) O desenvolvimento do aciclovir representou uma das maiores revoluções para o tratamento do 
herpes pois se trata de um fármaco bastante ativo contra o vírus e pouco tóxico para o ser humano. 
Baseado na estrutura do aciclovir responda: 
HN
N
O
H2N
N
N
O
HO 
a) o aciclovir mimetiza algum substrato natural utilizado pelo vírus? Se sim, quais as principais 
diferenças estruturais entre ele e o aciclovir? Como estas diferenças estruturais influenciariam no 
mecanismo de ação do fármaco? 
b) quais as duas principais enzimas relacionadas com a ação antiviral do aciclovir? Por que o aciclovir é 
menos tóxico para a célula do hospedeiro do que para o vírus do herpes? O aciclovir pode ser 
considerado um pró-fármaco; por quê? 
O CO2H
NH2
N
H
O
OH
OH
OH
H
CO2CH2CH3
H2N
AcHN
H
O
O CO2H
HO
AcHN
OH
HO OH
NH2 
2 
Química Farmacêutica II – Noturno 2016 
Profa. Dra. Ivone Carvalho 
Exercícios: Agentes Antivirais 
 
3) Os inibidores nucleosídicos da replicação do material genético precisam ser convertidos à forma ativa 
trifosforilada para exercerem atividade antiviral. Alguns derivados são pró-fármacos múltiplos, e passam 
por etapas adicionais de ativação metabólica para gerar a forma ativa. Associe os seguintes fármacos 
às correspondentes etapas/enzimas requeridas para sua liberação/ativação. 
 
 Penciclovir 
 
 Valaciclovir 
 
 
 
 
 Desciclovir 
 
 Cidofovir 
 
a) Esterases 
b) Quinases virais (primeira fosforilação) 
c) Quinases celulares (segunda e terceira fosforilação) 
d) Xantina oxidase 
 
4) Imagine que você seja um farmacêutico clínico recém contratado para atuar em uma instituição 
especializada no tratamento de portadores de HIV. Indique baixo de cada fármaco a qual classe de anti-
retrovirais eles pertencem (inibidores de protease, inibidores de transcriptase reversa nucleosídicos e 
não nucleosídicos). Com base em seus conhecimentos de química farmacêutica sobre fármacos 
antivirais, responda qual das duas combinações abaixo você escolheria como padrão para o tratamento 
de pacientes HIV positivos na instituição? Por quê? (Explique em detalhes com base no mecanismo de 
ação de cada fármaco). 
Associação 1: 
 
Associação 2: 
 
Química Farmacêutica II – Noturno 2016 
Profa. Dra. Ivone Carvalho 
Exercícios: Agentes Antivirais 
 
 
5) Qual das seguintes afirmações é verdadeira para inibidores não nucleosídicos da transcriptase 
reversa (NNTRIs), como a nevirapina e a delavirdina? 
 
a) Não podem ser usados em associação com inibidores nucleosídeos da transcriptase reversa. 
b) Ligam-se ao sítio ativo da enzima. 
c) Resistência pode ser desenvolvida por uma mutação no sítio alostérico em que uma lisina é 
substituída por asparagina. 
d) As interações entre NNTRIs e a cadeia peptídica da enzima no sítio de ligação não são 
importantes. 
 
 
5) O dipeptídeo L-fenilalanina-L-prolina foi escolhido como protótipo para o 
desenvolvimento do fármaco saquinavir. Qual afirmação abaixo explica 
melhor o motivo desta escolha? Justifique porque cada uma das demais 
alternativas não se aplicam. 
a) O dipeptídeo é estável a hidrólise pela protease de HIV e um análogo 
poderia atuar preponderantemente como inibidor e não substrato. 
b) Os resíduos dos dois aminoácidos encaixam-se nos subsítios do sítio 
ativo e análogos poderiam ser facilmente reconhecidos pelos resíduos do sítio ativo e ligar fortemente. 
c) A protease de HIV catalisa a hidrólise do dipeptídeo, enquanto que proteases dos mamíferos não 
possuem esta propriedade, o que permite explorar um alvo seletivo. 
d) O dipeptídeo é facilmente sintetizado comparado a outros dipeptídeos e análogos poderiam ser 
facilmente obtidos. 
 
 
6) Com relação ao planejamento e desenvolvimento do fármaco ritonavir abaixo, responda: 
 
 
6.1 A estrutura abaixo de A77003 (abaixo) foi um dos compostos iniciais sintetizados durante o 
desenvolvimento de ritonavir, o qual contém um grupo diol no interior de sua cadeia principal. Uma 
destas hidroxilas foi posteriormente removida. Qual a afirmação correta para esta modificação? 
N
H
N
N
H
H
N O
N
S Me
O
O
Ph
OH
Ph
O
N
S
Química Farmacêutica II – Noturno 2016 
Profa. Dra. Ivone Carvalho 
Exercícios: Agentes Antivirais 
 
 
 
 
 
 
 
a) O grupo removido não realizava interação por ligação de hidrogênio no sítio ativo. 
b) O grupo hidroxílico removido atuava como um bloqueador stereo e impedia que a molécula 
interagisse corretamente. 
c) A remoção de uma hidroxila reduziu o gasto energética associada a dessolvatação necessária para a 
ligação. 
d) O grupo removido participa de interação por ligação de hidrogênio, a qual conduzia a uma ligação em 
uma forma inativa. 
 
6.2 Ainda em relação à estrutura A77003, qual afirmação abaixo é correta para esclarecer a razão 
da substituição dos anéis de piridina por tiazol? 
a) Os anéis de piridina eram susceptíveis a oxidação metabólica. 
b) Os anéis tiazólicos são menores e diminuem o peso molecular. 
c) Os átomos de nitrogênio dos anéis de piridina poderiam ser protonados e tornar o fármaco muito polar. 
d) Os anéis tiazólicos interagem melhor que os de piridina no sítio de ligação da protease. 
N
H
H
N
O
Ph
OH
Ph
H
NN
O
N Me OH
O
N
H
N
O
Me
N

Mais conteúdos dessa disciplina