Logo Passei Direto
Material
¡Estudia con miles de materiales!

Vista previa del material en texto

Dominios Numéricos (N, Z, Q, Q+,R) 
Frank Tápanes Ramos 
franktapanes1393@gmail.com 
Resumen: Una breve caracterización de los dominios numéricos, como representarlos 
y operaciones entre ellos. Es un material de apollo para nuevos docentes pues cuenta 
con los contenidos relacionados con el objeto matemático así como ejemplo de 
ejercicios para valorar el nivel de asimilación en los estudiantes. Ha estos ultimos le 
sirve como resumen del contenido y pueden prácticar cuanto aprendieron con los 
ejercicios. 
Dominios Numéricos: Son los conjuntos numéricos con las operaciones y relaciones 
definidas en ellos, estos son: 
• El conjunto de los números naturales (N) formada por 0; 1; 2; 3; 4; …. 
• El conjunto de los números enteros (Z) formado por el conjunto de los números 
naturales y sus opuestos . . . -3; -2; -1; 0; 1; 2; 3; . . . 
• El conjunto de los números racionales (Q) formado por los números enteros y 
los cocientes que se pueden formar entre ellos, es decir todas las expresiones 
del tipo a/b, a Є Q, b Є Q, b≠0; o sea toda expresión decimal periódica. 
Ejemplo: -----5/3; 0.600; 6/3; -11,233...; etc. 
• El conjunto de los números irracionales (I), formado por todas las expresiones 
decimales no periódicas, e=2,7182…; -√3= -1,73…; π= 3,14 ... 
• El conjunto de los números reales (R) formado por la unión de los racionales y 
los irracionales, es decir Q U I= R 
 
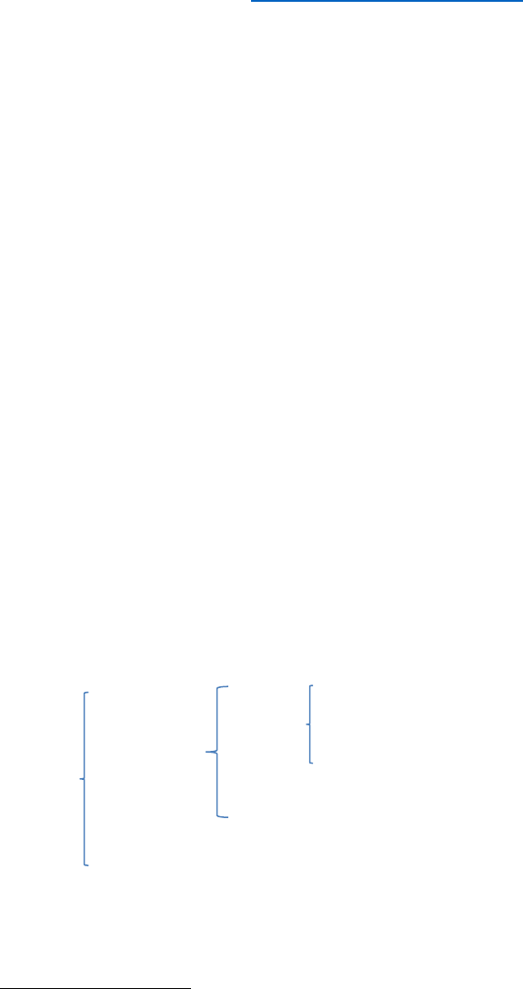
 Enteros Naturales 
 Racionales Enteros negativos 
 Reales Fracciones positivas negativas 
 Irracionales 
A cada punto de una recta se le hace corresponder de forma única un número real y 
viceversa. 
Comparación y orden 
Para ordenar un grupo de números reales debes tener en cuenta que: 
➢ De dos números reales cualesquiera son menor el que está más a la izquierda 
de la recta numérica. 
➢ De dos números reales positivos es mayor el que tiene mayor módulo. 
➢ De dos números reales negativos es mayor el que tiene menor módulo. 
mailto:franktapanes1393@gmail.com
Los intervalos son subconjuntos de números reales, entonces: 
✓ Un intervalo cerrado [a; b] de extremos a y b es un segmento en el que se 
incluyen estos extremos: [a; b] = { x Є R; a≤ x≤ b} 
 a. .b 
✓ Un intervalo abierto (a; b) de extremos a y b es un segmento en el que no 
se incluyen estos extremos. 
 ( a; b) ={ x Є R; a˂ x˂ b} ao ob 
✓ Un intervalo semiabierto de extremos a y b puede ser (a; b] ó [a; b). 
(a; b] = { x Є R; a˂ x ≤ b} a o .b 
[a; b)= { x Є R; a ≤x ˂ b} a. Ob 
 
En particular: 
(-∞ ; b] = { x Є R; x ≤ b} .b 
Es el conjunto de los números reales menores o iguales que b. 
(-∞ ; b) = { x Є R; x ˂ b} ob 
Es el conjunto de los números reales menores que b. 
[a; +∞) = {x Є R; x ≥ a} a. 
 Es el conjunto de los números reales mayores o iguales que a. 
(a; +∞) = {x Є R; x ˃ a} a o 
 Es el conjunto de los números reales mayores que a. 
Ejercicios: 
1.- Di cuáles de las proposiciones siguientes son verdaderas o falsas. Escribe V o F en la 
línea dada a la izquierda. 
a) ___ πQ b) ___ RN c) ___ -4,7 ЄQ+ d) ___ ZQ e) ___ -1/3ЄQ 
f) ___ 5N g) ___ RQ h) ___ π=3,14 
2.- Clasifica las proposiciones siguientes en V o F. Justifique las falsas. 
a) ___ Los números racionales Q cubren toda la recta numérica. 
b) ___ Si a Є Q y b Є Q, entonces ab Є Q. 
c) ___ Si m Є N y n Є N, entonces m:n Є N. 
d) ___ El numero - 15 pertenece al conjunto de los números reales. 
e) ___El conjunto de los números enteros está contenido en el conjunto de los 
números fraccionarios. 
3.- Marca con una cruz la proposición verdadera: 
a) ___ Las expresiones decimales periódicas son números irracionales. 
b) ___ La operación de extracción de raíces de índice par de números positivos está 
determinada unívocamente. 
c) ___ La operación de sustracción se pude realizar ilimitada en el conjunto Z de los 
números enteros. 
d) ___ El conjunto R de los números reales está formado por los números fraccionarios 
y sus opuestos. 
4.- Dados los conjuntos: A = {x Є R: x ≥-3}, B = {x Є R: -3 ˂ x ˂ 2} y P: El conjunto de los 
números naturales pares. 
Completa los espacios en blanco con el símbolo adecuado, de forma que se obtenga 
una proposición verdadera. 
a) 2 ___ P b) 6 ___ A c) A ___ B d) -2 ___ A e) P ___ A 
f) 2 ___ B g) 5 ___ P h) 3 ___ B i) B ___ P 
5.- Selecciona la respuesta correcta marcando con una X en la línea dada. 
Sean los conjuntos: A = {x Є R: x ≤ 3} y B = (-2; 4) se puede afirmar que A∩B es: 
a) ___ [-2: 3) b) ___ {x Є R: x ≤ 3, x≠ -2} 
c) ___ (-∞: 4) d) ___ {x Є R: -2 ˂ x ≤ 3} 
Sean los conjuntos: M = [-4; 2] y N = {x Є R: x ˃-0,38} se puede afirmar que AB es: 
a) ___ {x Є R: 0,38 ˂ x ≤ 2} b) ___ {x Є R: -0.38 ˂ x ≤ 2} 
c) ___ [-4; +∞) d) ___ (-∞: -4) 
 
Operaciones con números reales o con subconjuntos numéricos de los 
números reales. 
➢ Se Efectúan las operaciones indicada entre signos de agrupamiento tales como 
paréntesis, corchetes o llaves. 
➢ Se realizan las operaciones de potenciación y radicación en el orden en que 
aparecen. 
➢ Se efectúan las multiplicaciones y divisiones en el orden en que aparecen. 
➢ Se realizan las sumas y restas en el orden en que aparecen. 
Recordatorio: 
Aspectos que debes tener en cuenta cuando vas a realizar operaciones 
con números reales: 
• Si vas a adicionar dos números reales debes tener en cuenta sus signos; si son 
iguales se suman y se mantiene el signo, si son diferentes se restan y se pone el 
signo del que tiene mayor módulo. 
• Si dos números son opuestos, su suma es cero. 
• Si vas a multiplicar o dividir dos números reales se multiplican o dividen sus 
módulos; si los dos números tienen signos iguales, el resultado es un número 
positivo y si tienen signos diferentes el resultado es negativo. 
• El l producto de un número y su recíproco es 1. 
• La multiplicación o división de un número real distinto de cero por 1 da como 
resultado el propio número real. 
• La multiplicación de un número real por cero es cero. 
• La división de un número real por cero no está definida. 
• La división de cero por cero no está determinada. 
• Cuando se eleva un número real positivo a un exponente cualquiera el 
resultado es un número positivo. 
• Cuando se eleva un número real negativo a un exponente par, el resultado es 
un número positivo y si el exponente es impar, el resultado es negativo 
• La raíz de orden par de un número negativo no está definida en el dominio de 
los números reales.