Uma livraria pretende realizar um levantamento a respeito das vendas dos três volumes de um livro de literatura estrangeira em três de suas filiais, buscando analisar a necessidade da aquisição de novos exemplares devido à demanda.
Os dados das vendas diárias dos volumes 1, 2 e 3 do livro em questão é apresentado no quadro a seguir:

Fonte: elaborado pela autora.
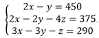
Adotando as representações x para o preço dos livros do volume 1, y o preço dos livros do volume 2 e z o preço dos livros do volume 3, qual dos seguintes sistemas de equações lineares descreve corretamente a situação apresentada no problema?
Selecione uma alternativa:
a)

b)

c)

d)

e)

Crie uma conta e ajude outras pessoas compartilhando seu conhecimento!