Logo Passei Direto
Buscar
Material
páginas com resultados encontrados.
páginas com resultados encontrados.
left-side-bubbles-backgroundright-side-bubbles-background

Crie sua conta grátis para liberar esse material. 🤩

Já tem uma conta?

Ao continuar, você aceita os Termos de Uso e Política de Privacidade

Prévia do material em texto

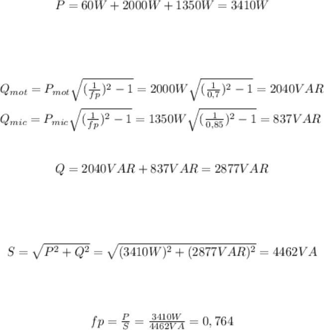
No circuito, a potência ativa é de 3410 W, a potência aparente é de 4462 VA e a potência 
reativa é de 2877 VAR. O fator de potência é 0,764. 
 
potências ativas no circuito 
Como a lâmpada tem fator de potência unitário, sua potência aparente e sua potência ativa 
são iguais, então, a potência ativa da lâmpada é de 60 W. Adicionando as três potências ativas, 
obtém-se a potência ativa do circuito: 
 
potência reativa 
A potência reativa da lâmpada é nula, pois, seu fator de potência é 1, as potências reativas do 
motor e do micro-ondas são: 
 
A potência reativa total do circuito é: 
 
potência aparente 
A potência aparente pode ser achada aplicando a identidade pitagórica, conhecendo 
a potência ativa e a potência reativa: 
 
fator de potência 
O fator de potência é a razão entre a potência ativa e a potência aparente totais do circuito:

Mais conteúdos dessa disciplina