Logo Passei Direto
Buscar
Material
páginas com resultados encontrados.
páginas com resultados encontrados.
left-side-bubbles-backgroundright-side-bubbles-background

Crie sua conta grátis para liberar esse material. 🤩

Já tem uma conta?

Ao continuar, você aceita os Termos de Uso e Política de Privacidade

left-side-bubbles-backgroundright-side-bubbles-background

Crie sua conta grátis para liberar esse material. 🤩

Já tem uma conta?

Ao continuar, você aceita os Termos de Uso e Política de Privacidade

Prévia do material em texto

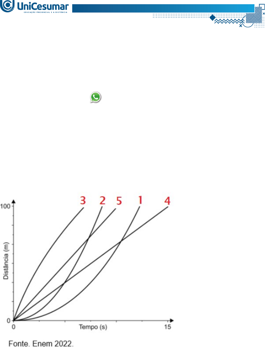
<p>Olá, aluno(a)! Está com dificuldade ou sem tempo para elaborar essa atividade? Iremos te ajudar!</p><p>Entre em contato</p><p>(63) 99129-5554</p><p>ATIVIDADE 1 – ESOFT – ESTATÍSTICA - 53_2024</p><p>Em uma competição de velocidade, diz-se que há uma ultrapassagem quando um veículo que está atrás de outro passa à sua frente, com ambos se deslocando no mesmo sentido. Considere uma competição automobilística entre cinco carros em uma pista com 100 m de comprimento, onde todos largam no mesmo instante e da mesma linha. O gráfico a seguir mostra a variação da distância percorrida por cada veículo: veículo 1, veículo 2 até o veículo 5, em função do tempo, durante toda a competição.</p><p>Fonte: adaptado de: https://www.exercicios-resolvidos.com/2022/11/enem-2022-em-uma-competicao-de.html. Acesso em: 29 maio. 2023</p><p>Com base nas informações do enunciado e do gráfico, responda:</p><p>a) Quantos veículos participaram da corrida?</p><p>b) Quantas ultrapassagens ocorreram durante a corrida? E quem ultrapassou quem?</p><p>c) Quais foram as ordens de chegadas dos veículos?</p><p>d) Qual ou quais veículos apresentaram velocidades mais constantes durante a corrida? Por quê?</p><p>Observação: a entrega da atividade deve ser feita na caixa de texto a seguir. Atente-se, pois, após a finalização da atividade, não será possível realizar alterações no texto. Verifique a sua resposta antes de finalizar</p><p>• Evite compartilhar sua resolução com colegas da turma. A expressão do aprendizado é pessoal e única de cada estudante. Preserve sua autoria e evite transtornos na replicação de sua resposta.</p><p>• Não são permitidas correções parciais no decorrer do módulo, pois a interpretação da atividade também faz parte da avaliação</p><p>• Atenção ao prazo de entrega da atividade. Sugerimos que envie sua atividade antes do prazo final para evitar transtornos e lentidão nos servidores. Evite o envio de atividade em cima do prazo!</p><p>Boa atividade!</p><p>image1.png</p><p>image2.png</p><p>image3.png</p><p>image4.png</p>

Mais conteúdos dessa disciplina